Предмет: Математика, автор: Ooooooooooooooooou

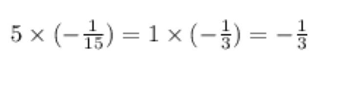
5•(-1/15) -обчисли
))))))

Ответы

Автор ответа: wrcon
2

5 \times ( -  \frac{1}{15} ) = 1 \times ( -  \frac{1}{3} ) =  -  \frac{1}{3}

Автор ответа: tomas86
0
Оалалададвдвд ответ в низу
Приложения:
Похожие вопросы
Предмет: Русский язык, автор: dillutiha

1. Какое предложение является сложным?
1) Люди, появившиеся в этих местах, приехали недавно.
2)У него медленно выплыли из-под ресниц и встали неподвижно две тёплые слезы.
3) Он приносил книги, а я читала их каждый вечер.
4) К вечеру, однако, ветер утих.

2. Какое из приведённых сложных предложений состоит из трёх предикативных частей? (Знаки препинания не расставлены.)
1) Уж проходят караваны через те скалы где носились лишь туманы да цари орлы.
2) В саду поселилась осень но листья нашей берёзы оставались зелёными и живыми.
3) Солнца не видно а полуденное небо озарено розовым веером лучей серебрящим зелень деревьев.
4) Когда мы вышли из вокзала синеватый свет уже брезжил над Феодосией и вокруг с каждой минутой становилось всё светлее.

3. Укажите сложное предложение с бессоюзной связью.
1) Мы очутились у водопада – вид был необыкновенный.
2) Всё: деревья, кусты, цветы – радовали нас первозданной зеленью.
3) Особенно любили мы этот парк и его тенистые аллеи.
4) Хотя об этом говорили уже все, никто не относился к этому серьёзно.

4. Какое из предложений соответствует схеме:
[ ], и [ ]. (Знаки препинания не расставлены)
1)Двое уже обогнали меня и вдруг подошёл третий.
2) Мы узнали у старика как пройти к деревне и как найти Виктора.
3)Захват высоты и удержание позиции было приоритетной задачей.
4) Нужно было добраться до села засветло и успеть подготовиться к завтрашнему походу.

5. Укажите вариант ответа, в котором перечислены все сложные предложения с союзной связью.
А. Эту удивительную новость принёс Серёжа – ребята не поверили ему.
Б. Эту удивительную новость принёс Серёжа, и ребята не поверили ему.
В. Эту удивительную новость принёс Серёжа, однако ребята не поверили ему.
Г. Хотя эту удивительную новость принёс Серёжа, ребята не поверили ему.
1.Б,Г
2.А,Б,Г
3.А, Г
4.Б,В,Г

6. Какое из предложений сложносочинённое?
1) Я то ввязывался во дворе в драку, то уходил без спросу в гости, то разбивал лампу или банку с вареньем.
2) Горе у друга – мы не спешим ему в помощь.
3) В комнате было тихо, темно и очень душно.
4) Немецкие солдаты вытянулись и замерзли, а русский солдат неторопливо шёл сквозь строй оцепеневших врагов и ничего не видел.

7. Укажите правильное объяснение пунктуации в предложении:
На скамейку кто-нибудь присаживался ( ) и начинался неторопливый разговор.
1)сложное предложение, перед союзом И запятая не нужна.
2)простое предложение с однородными членами, перед союзом И запятая не нужна
3)сложное предложение, перед союзом И запятая нужна
4) простое предложение с однородными членами, перед союзом И нужна запятая

8. Укажите сложносочинённое предложение с соединительным союзом.
1)Одни дятлы продолжали свою работу, да где-то свистнул рябчик и боязливо замолчал.
2) То солнце тусклое блестит, то туча чёрная висит.
3) Был ли туман, или это был дым?
4) Не только в городе было жарко, но и в лесу было душно.

9. Укажите сложносочинённое предложение с разделительным союзом
1) Он закончил свой выступление, однако никто не понял этих слов.
2) Ни о чём не хочется думать, или бродят мысли и воспоминания смутные, неясные, как сон.
3) Иногда шёл дождь, а иногда – снег.
4) Я створки распахну и сад пущу в окно.