Предмет: Математика,
автор: darinamagrelo63
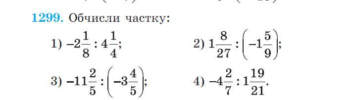
будь ласка допоможіть! 2 завдання дам 20 балів
Приложения:
Ответы
Автор ответа:
1
Решение на прикреплённой фотографии
Приложения:
darinamagrelo63:
дякую
Похожие вопросы
Предмет: Биология,
автор: tavihilk959
Предмет: Экономика,
автор: polinanesteruk2012
Предмет: Литература,
автор: Аноним
Предмет: Алгебра,
автор: liliyamironova3173
Предмет: География,
автор: yuliyashvecova