Предмет: Математика, автор: nastiona3348

вычислите интеграл
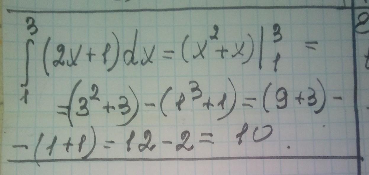
∫₁³ (2x + 1)dx.

Ответы

Автор ответа: manyny06
0

Ответ:

решение смотри на фотографии

Приложения:
Похожие вопросы
Предмет: Русский язык, автор: ilim88
Предмет: Физкультура и спорт, автор: Fvvyv900
Тест по физической культуре
для 5 класса
Оценивание теста:
Зачет выставляется при наличии 12 правильных ответов.
1. Под физической культурой понимается:
а) часть культуры общества и человека;
б) процесс развития физических способностей;
в) вид воспитания, направленный на обучение движениям и развитие физических качеств;
г) развитие естественных сил природы и воспитание гигиенических качеств.
2. Сколько физических качеств у человека?
а) 4 б) 6 в) 5 г) 7
3. Перечислить физические качества человека.
а) сила, ловкость, гимнастика, быстрота (скоростные способности).
б) быстрота (скоростные способности), выносливость, двигательно-координационные способности (ловкость), гибкость, сила.
в) гибкость, активная гибкость, пассивная гибкость, сила, двигательно-координационные способности (ловкость), выносливость.
г) быстрота (скоростные способности), выносливость, двигательно-координационные способности (ловкость), гибкость, сила, умственные способности.
4. ОФП - расшифровка.
а) организация физической подготовки
б) общая физическая подготовка
в) общественная форма правил
г) основные физические принципы
5. ОРУ – расшифровка.
а) организация упражнений
б) общественное развитие учащихся
в) обще-развивающие упражнения
г) основное развитие учеников
6. ОРУ бывает?
а) на скамейке, на матах
б) через сетку, в кольцо
в) через скакалку, на улице
г) в ходьбе, в беге, на месте
7. Гибкость – это?
а) способность организма сопротивляться продолжительному выполнению какой-либо работы без заметного снижения работоспособности.
б) способность выполнять двигательное действие с максимальной скоростью (за наименьший промежуток времени).
в) это способность человека преодолевать внешнее сопротивление или противостоять ему за счет мышечных усилий (напряжений).
г) способность человека выполнять упражнения с большой амплитудой
8. Какой вид старта применяется в беге на короткие дистанции?
а) высокий
б) средний
в) низкий
г) любой
9. Сила – это?
а) способность организма сопротивляться продолжительному выполнению какой-либо работы без заметного снижения работоспособности.
б) это способность человека преодолевать внешнее сопротивление или противостоять ему за счет мышечных усилий (напряжений).
в) способность выполнять двигательное действие с максимальной скоростью (за наименьший промежуток времени).
г) способность человека выполнять упражнения с большой амплитудой
10. Быстрота (скоростные способности) – это?
а) это способность человека преодолевать внешнее сопротивление или противостоять ему за счет мышечных усилий (напряжений).
б) способность организма сопротивляться продолжительному выполнению какой-либо работы без заметного снижения работоспособности
в) способность человека выполнять упражнения с большой амплитудой
г) способность выполнять двигательное действие с максимальной скоростью (за наименьший промежуток времени)
11. Выносливость – это?
а) способность организма сопротивляться продолжительному выполнению какой-либо работы без заметного снижения работоспособности
б) способность выполнять двигательное действие с максимальной скоростью (за наименьший промежуток времени)
в) способность человека выполнять упражнения с большой амплитудой
г) это способность человека преодолевать внешнее сопротивление или противостоять ему за счет мышечных усилий (напряжений).
12. Сколько игроков играют в волейбол на одной стороне площадки?
а) 5 б) 10 в) 6 г) 7
13. Сколько зон в волейболе?
а) 7 б) 5 в) 6 г) 8
14. Как осуществляется переход волейболе ?
а) по часовой стрелке
б) против часовой стрелке
в) остаются на месте
г) по желанию
15. Что, прежде всего, следует сделать при оказании первой помощи пострадавшему от ушиба какой-либо части тела о твердую поверхность?
а) охладить ушибленное место,
б) приложить тепло на ушибленное место,
в) наложить шину,
г) обработать ушибленное место йодом.
16. Во время этой игры на площадке находятся две команды по 6 человек:
а) футбол,
б) баскетбол.
в) гандбол,
г) волейбол,
17. Осанкой называется:
а) силуэт человека,
б) привычная поза человека в вертикальном положении,
в) качество позвоночника, обеспечивающее хорошее самочувствие,
г) пружинные характеристики позвоночника и стоп.