Предмет: Алгебра,
автор: Аноним
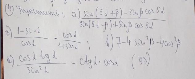
помогите пожалуйста срочно!!!
Приложения:
Ответы
Автор ответа:
1
Объяснение:
ответ на фото))))))))))))
Приложения:
Похожие вопросы
Предмет: Українська мова,
автор: Yjvtdygi
Предмет: Геометрия,
автор: marinafilippova275
Предмет: Українська мова,
автор: davidtverd14
Предмет: Химия,
автор: kolyaden0891
Предмет: Музыка,
автор: dariachaplygina2008