Предмет: Математика,
автор: ruftseyfullayev3
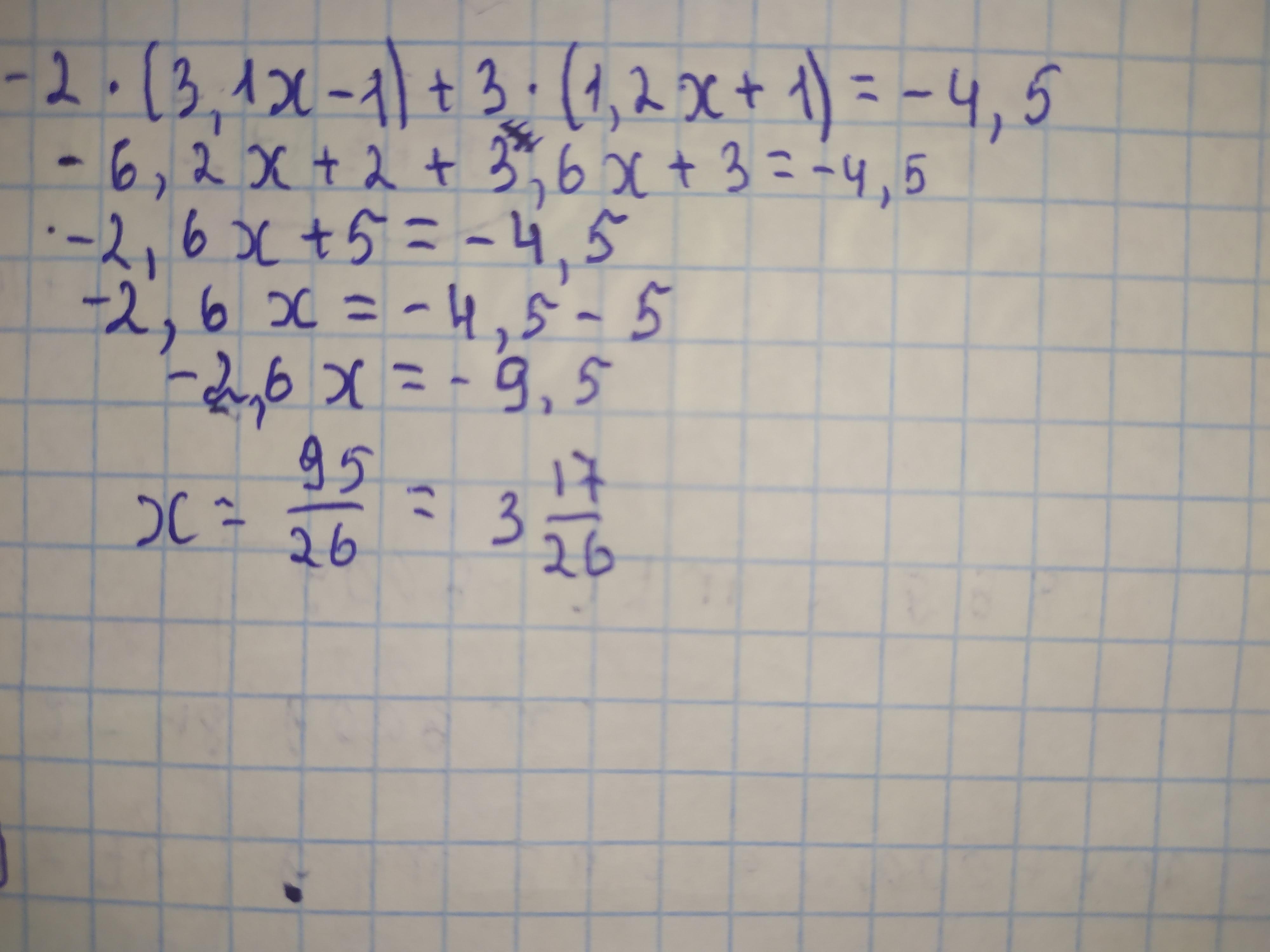
-2×(3,1х-1)+3×(1,2х+1)=-4,5
Ответы
Автор ответа:
0
Ответ:
фото
Пошаговое объяснение:
Приложения:
Похожие вопросы
Предмет: История,
автор: 8jp9q829g5
Предмет: Математика,
автор: golben478
Предмет: Русский язык,
автор: aruzhan4761
Предмет: Обществознание,
автор: zinoveva1507
Предмет: Английский язык,
автор: INFUZORIAAAAA