Предмет: Алгебра,
автор: markiynnimchuk
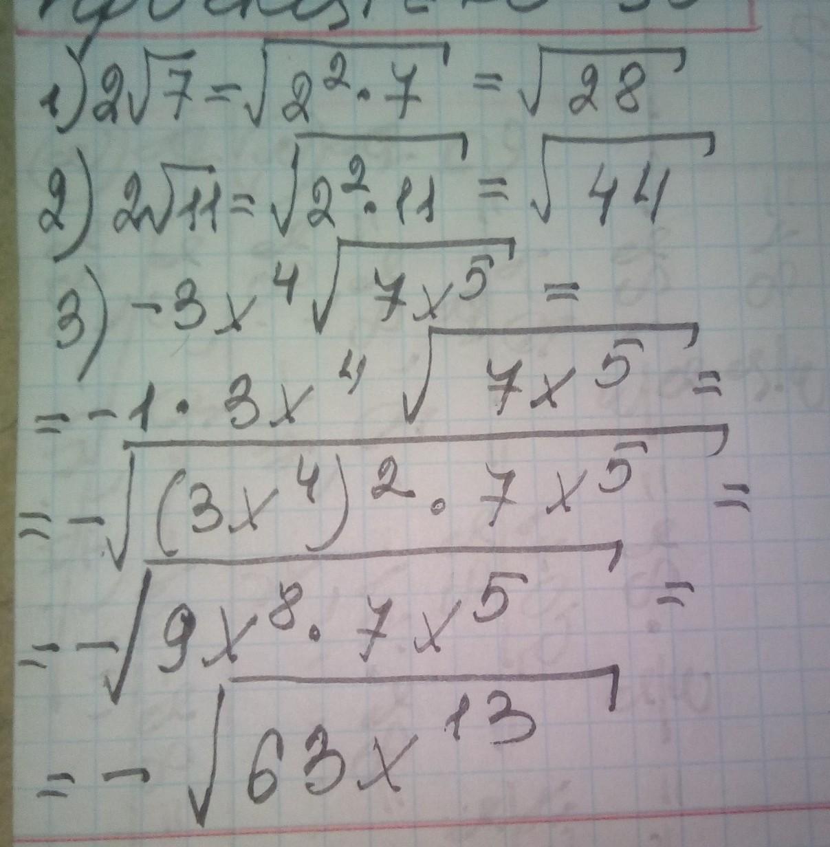
Внесіть множник під знак кореня
-3x*√7x5
Приложения:
Ответы
Автор ответа:
1
Предполагая, что x > 0:
master32wsp:
как удалить ответ
Автор ответа:
2
Ответ:
решение смотри на фотографии
Приложения:
Похожие вопросы
Предмет: Немецкий язык,
автор: nikitishina40
Предмет: Беларуская мова,
автор: v4370709
Предмет: Қазақ тiлi,
автор: ayaulymka18
Предмет: Литература,
автор: polinakiseleva08
Предмет: Литература,
автор: fartumasti20