Предмет: Алгебра,
автор: dmitriyterra
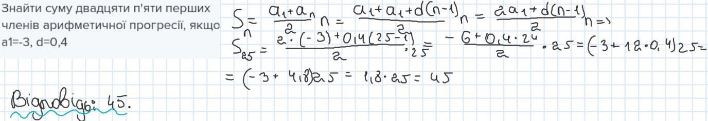
Знайти суму двадцяти п'яти перших членів арифметичної прогресії, якщо а1=-3, d=0,4
Ответы
Автор ответа:
1
Розв'язок у прикріпленому файлі
Приложения:
justsawerty:
Бажаю успіхів, чекаю на запитання :)
Похожие вопросы
Предмет: Геометрия,
автор: machka246500
Предмет: Математика,
автор: sandugash112ws
Предмет: Английский язык,
автор: Derloks
Предмет: Математика,
автор: danillee129
Предмет: География,
автор: iygtyviyivyiv