Предмет: Алгебра,
автор: ijLsdd
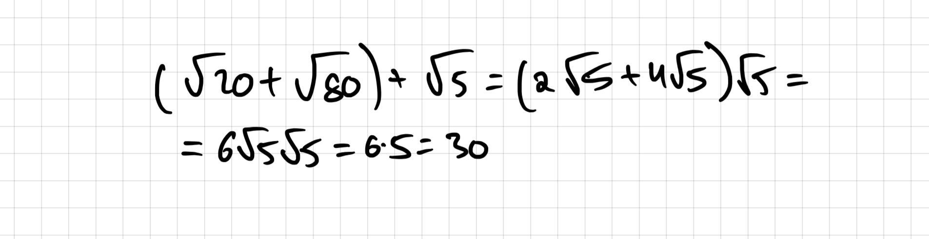
спростіть вираз: (√20+√80)√5;
Ответы
Автор ответа:
2
Ответ:
Ми можемо спростити вираз (√20+√80)√5, використовуючи розподільну властивість множення над додаванням і спрощення квадратних коренів:
(√20 + √80)√5 = (√(45) + √(165))√5 (оскільки 20 = 45 і 80 = 165)
= (2√5 + 4√5)√5
= 6√5 * √5
= 6 * 5
= 30
Отже, спрощений вираз дорівнює 30.
Объяснение:
Автор ответа:
2
Ответ:
Дай лучший ответ пожалуйста
Объяснение:
Приложения:
Похожие вопросы
Предмет: История,
автор: dsfubhikujhbikuhb
Предмет: Математика,
автор: zbbaarriinnaaz
Предмет: Українська література,
автор: domo19722018
Предмет: История,
автор: nickitabobarykin
Предмет: Другие предметы,
автор: volkovaalena863