Предмет: Математика, автор: horitbin

Помогите с математикой пожалуйста все три номера. Даю 70 баллов.

Приложения:

Ответы

Автор ответа: tetamotatetyamotya
1

Ответ:

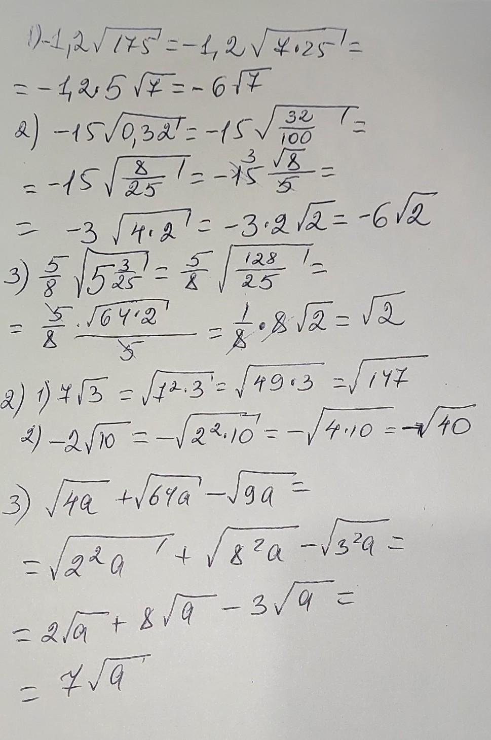
вот решение

Пошаговое объяснение:

на листочке

Приложения:

horitbin: Спасибо вам Огромное
tetamotatetyamotya: На здоровье,детка
tetamotatetyamotya: На здоровье,детка
horitbin: )))))))
Похожие вопросы
Предмет: История, автор: balausakozeibai
Предмет: Математика, автор: svetlanaprocenko285
Предмет: Математика, автор: kondrashinvm
Предмет: Алгебра, автор: Аноним