Предмет: Алгебра,
автор: xgvxxsh
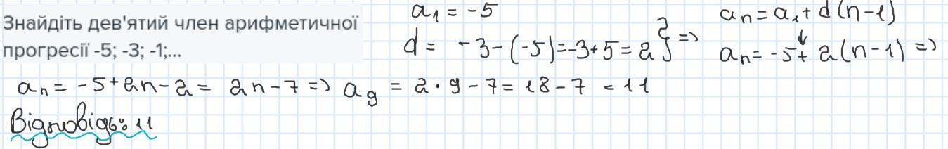
Знайдіть дев'ятий член арифметичної прогресії -5; -3; -1;...
Срочно нужна!!!
Ответы
Автор ответа:
0
Розв'язок у прикріпленому файлі
Приложения:
justsawerty:
Бажаю успіхів, чекаю на запитання :)
Похожие вопросы
Предмет: Литература,
автор: shalapayka328
Предмет: Физика,
автор: awyhw
Предмет: Физика,
автор: affeiii
Предмет: Литература,
автор: kakashi65
Предмет: Физика,
автор: alexjusst22