Предмет: Физика,
автор: anastasiaitsuk27
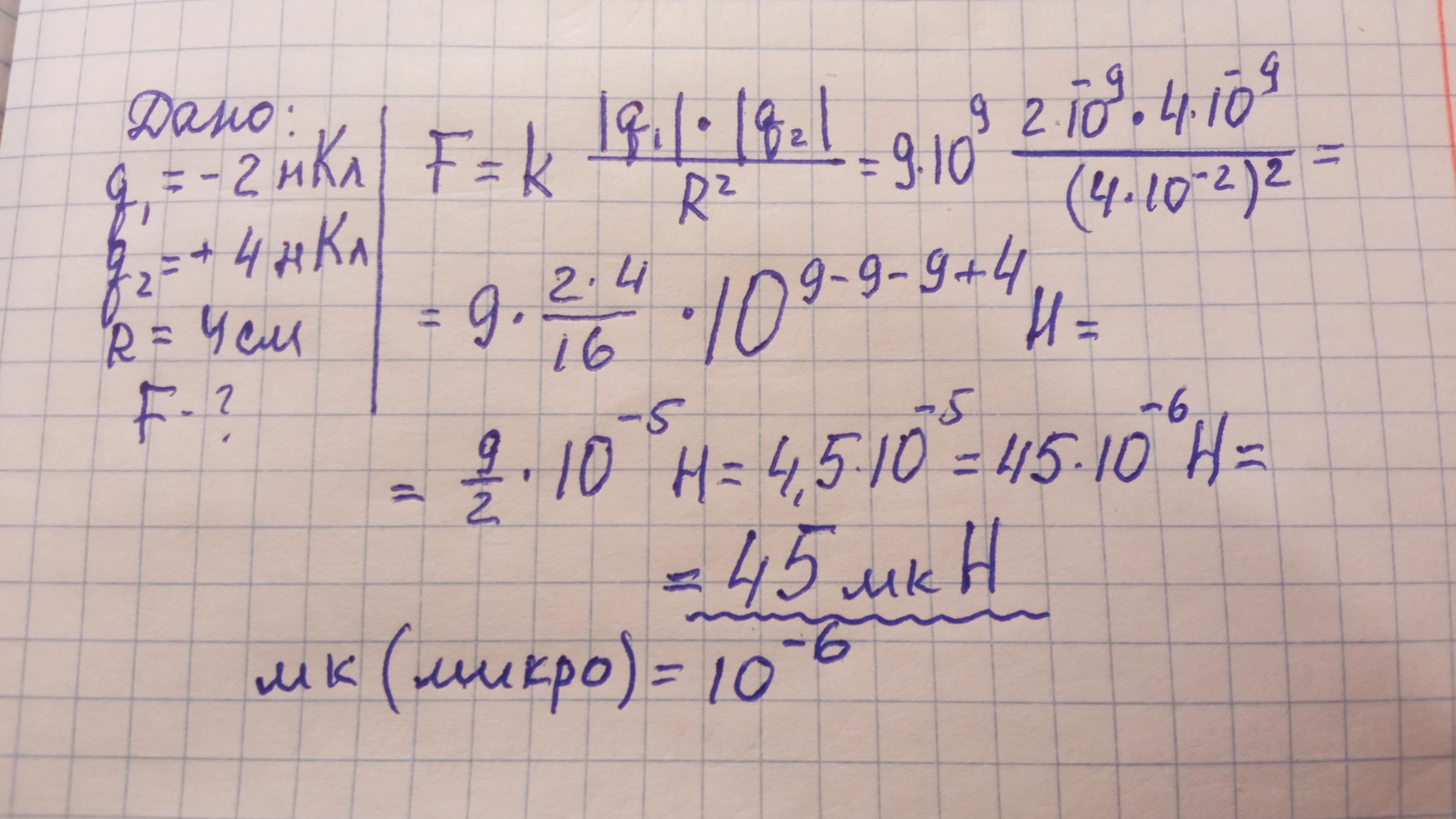
Два заряди-2 нКл i +4 нКл розташовані на відстані 4 см один від одного. З якою силою заряди взаємодіють? k=9-10 H-M² Кл А 45 мкн: Б 45 Мн: В 90 мкн F90 H
СРОЧНО 100 БАЛОВ
Приложения:
Ответы
Автор ответа:
1
Ответ:
Объяснение:.....
Приложения:
arhe0411:
Здравствуйте, помогите пожалуйста решить задачу, она в профиле!!!
Похожие вопросы
Предмет: Українська мова,
автор: oleksandraermolenko5
Предмет: Химия,
автор: agorbag
Предмет: Химия,
автор: agorbag
Предмет: Математика,
автор: Splashik2007
Предмет: История,
автор: tinkom