Предмет: Алгебра,
автор: sofafo01
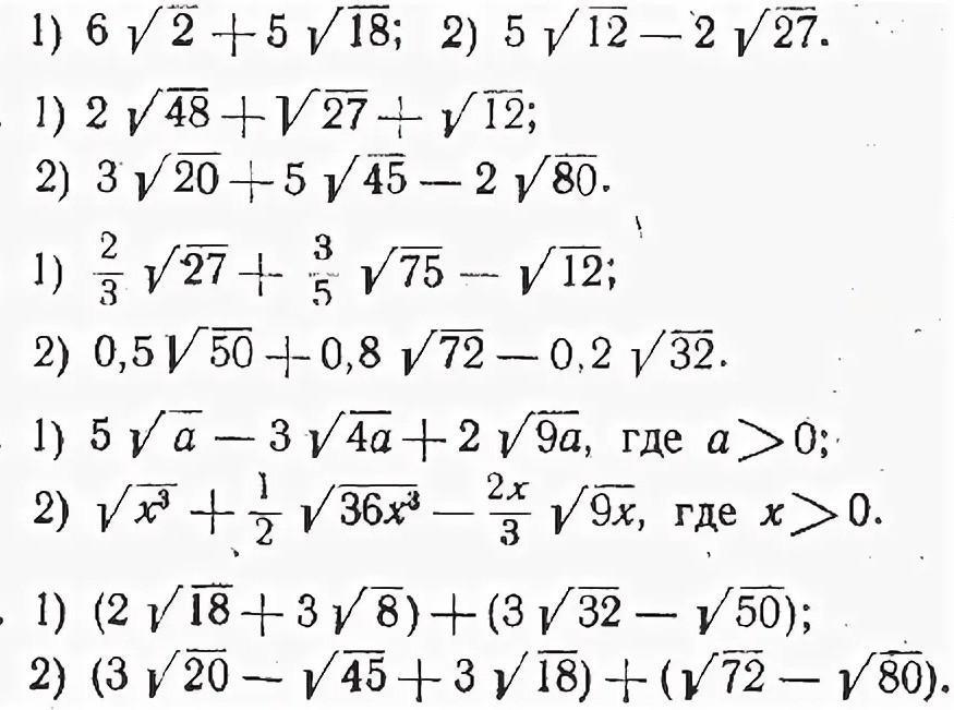
Помогите решить пожалуйста сделать все! Очень срочно!Даю 100 баллов!
Приложения:
Ответы
Автор ответа:
0
Ответ: на фотографии решение
Объяснение:
Приложения:
Похожие вопросы
Предмет: Французский язык,
автор: matvejhadzi
Предмет: Биология,
автор: Daniella7773010
Предмет: Английский язык,
автор: Аноним
Предмет: Математика,
автор: Maiaeana
Предмет: История,
автор: lucsevamargarita469