Предмет: Алгебра, автор: Fargo777

ДАЮ 90 БАЛОВ нужно срочно.

Приложения:

Ответы

Автор ответа: MizoriesKun
1

Смотри..............................

Приложения:

LllllTE: приветствую, помогите пожалуйста с моей задачей, задача в профиле плииииз
LllllTE: пожалуйстааа
tanakrut04: допоможи мені з моїм питанням прошу
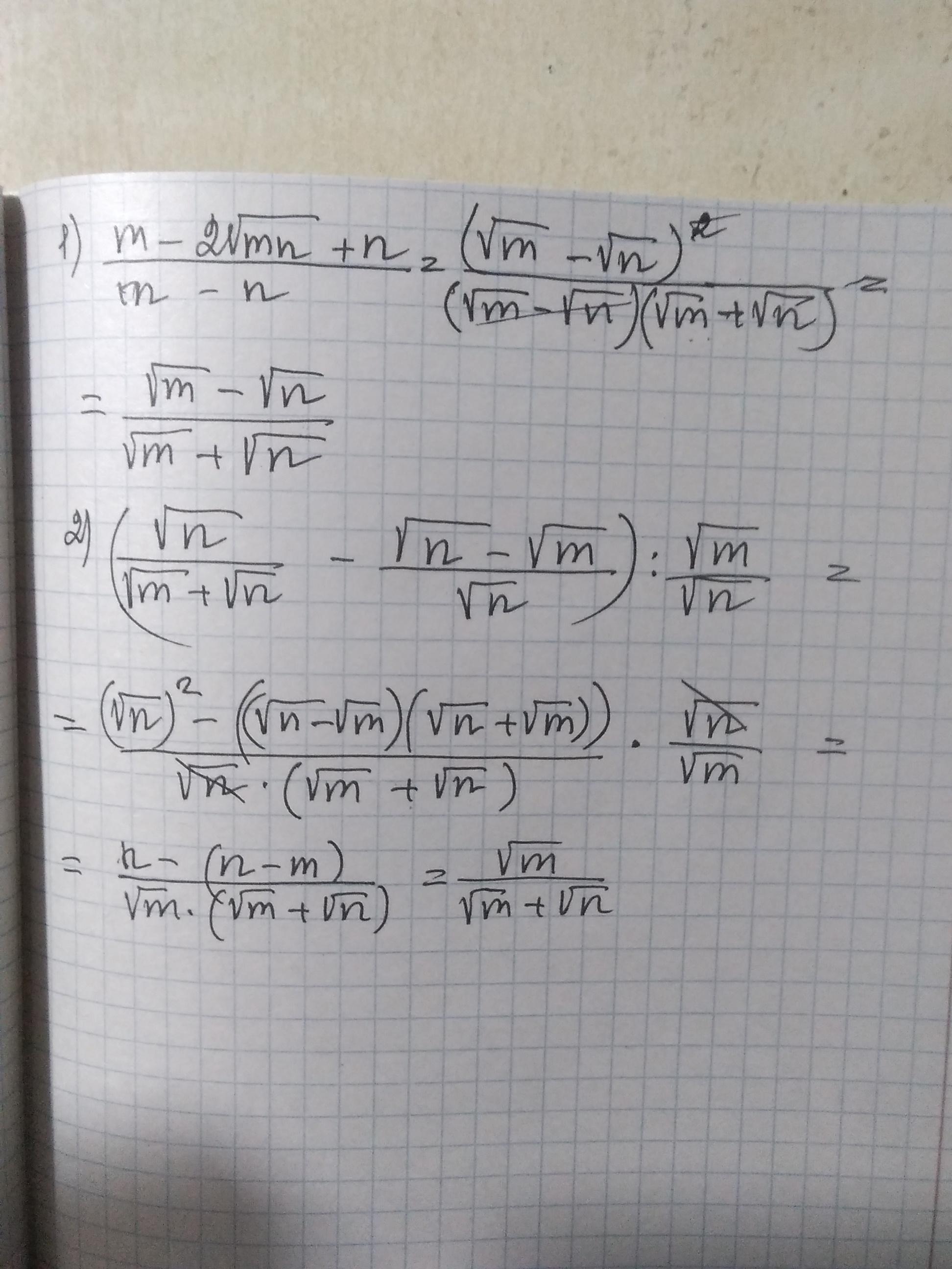
Автор ответа: Universalka
1

\displaystyle\bf\\1)\\\\\frac{m-2\sqrt{mn}+n }{m-n}=\frac{(\sqrt{m})^{2} -2\sqrt{mn} +(\sqrt{n})^{2} }{(\sqrt{m})^{2}-(\sqrt{n})^{2}} =\\\\\\=\frac{(\sqrt{m}-\sqrt{n} )^{2}  }{(\sqrt{m}-\sqrt{n})\cdot(\sqrt{m}+\sqrt{n})} =\frac{\sqrt{m} -\sqrt{n} }{\sqrt{m}+\sqrt{n} }\\\\\\2)\\\\\Big(\frac{\sqrt{n} }{\sqrt{m} +\sqrt{n} }-\frac{\sqrt{n} -\sqrt{m} }{\sqrt{n} } \Big):\frac{\sqrt{m} }{\sqrt{n} } =

\displaystyle\bf\\=\frac{\sqrt{n}\cdot \sqrt{n}-(\sqrt{n} -\sqrt{m})\cdot(\sqrt{m} +\sqrt{n})}{\sqrt{n} \cdot(\sqrt{m} +\sqrt{n} )}  \cdot\frac{\sqrt{n} }{\sqrt{m} } =\\\\\\=\frac{n-n+m}{\sqrt{m}\cdot(\sqrt{m} +\sqrt{n} ) }=\frac{m}{\sqrt{m}\cdot(\sqrt{m} +\sqrt{n} ) }  =\frac{\sqrt{m} }{\sqrt{m}+ \sqrt{n} }


tanakrut04: допоможи мені з моїм питанням прошу
Похожие вопросы
Предмет: Английский язык, автор: dzuraev200996