Предмет: Математика,
автор: mira20110629
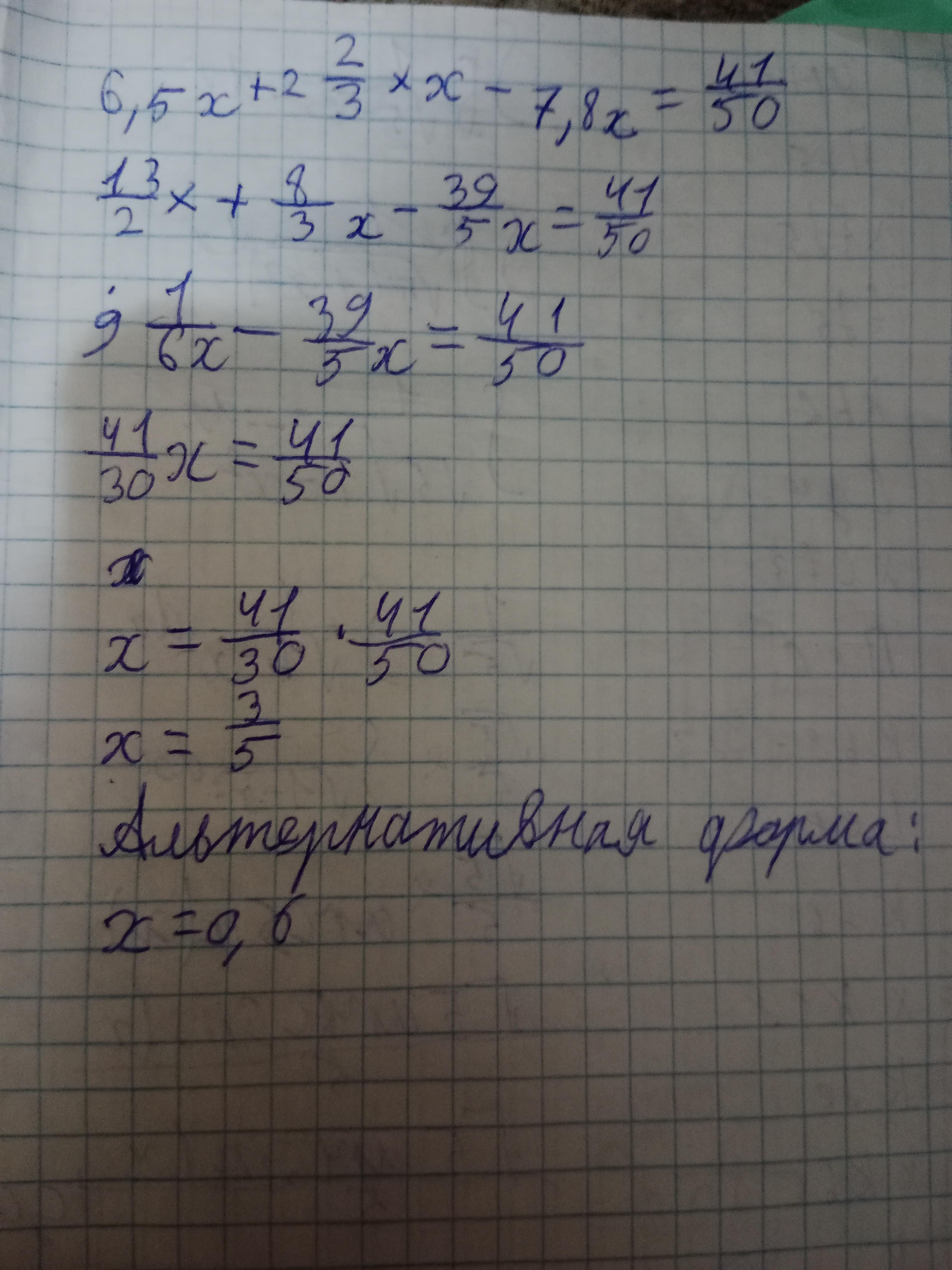
6,5х+2 2/3х-7,8х=41/50
ПОМОГИТЕ ПЖ ОЧЕНЬ НАДОООО
Babakanastasiia:
Можно решить?
Ответы
Автор ответа:
2
Ответ:
x = 3/5
Альтернативная форма:
x = 0,6
Пошаговое объяснение:всё в фото
Приложения:
Похожие вопросы
Предмет: Алгебра,
автор: Cuprunov
Предмет: Математика,
автор: Аноним
Предмет: Алгебра,
автор: polinka155414
Предмет: Биология,
автор: an629203
Предмет: Алгебра,
автор: pippop19990