Предмет: Математика,
автор: parvinakamrakulova
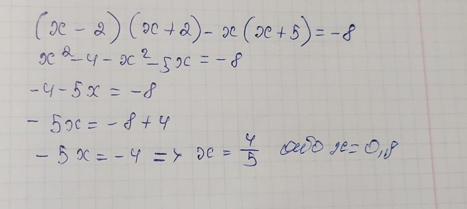
решение уравнение (х-2)(х+2)-х(х+5)=-8
Ответы
Автор ответа:
0
Ответ:
x=0.8
Пошаговое объяснение:
(х-2)(х+2)-х(х+5)=-8=-5x-4=-8=4/5=0.8
Автор ответа:
0
Ответ:
Привіт,Божого благословіння тобі!
Приложения:
Похожие вопросы
Предмет: Другие предметы,
автор: kiravityaz28
Предмет: Английский язык,
автор: sarsenbekovameruyert
Предмет: Физика,
автор: timotiodessa
Предмет: Другие предметы,
автор: Electroni
Предмет: Химия,
автор: cr1stal3255