Предмет: Алгебра,
автор: Verona14502
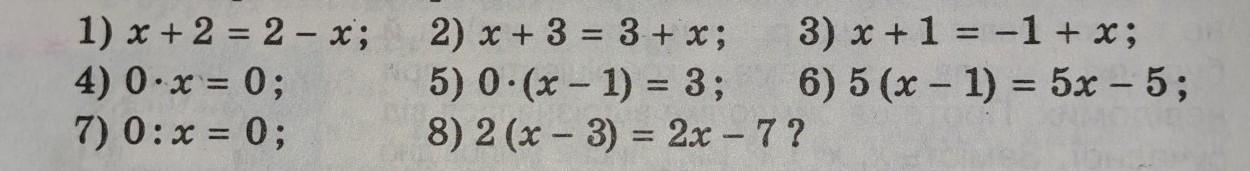
Чи має розв'язки рівняння:
Приложения:
Ответы
Автор ответа:
1
Ответ:
1)2х=0,нема
2)нема(у нас х теряется)
3)нема
4гема
5) нема
6) 5х-5=5х-5,10х=10,х=1
7) нема
нема 8
Похожие вопросы
Предмет: Русский язык,
автор: abdullayevaliana829
Предмет: Русский язык,
автор: ponn44
Предмет: Математика,
автор: jennetmammedowa225
Предмет: География,
автор: 22833000
Предмет: Математика,
автор: kulzhanaisulu088