Предмет: Алгебра,
автор: lionesamey
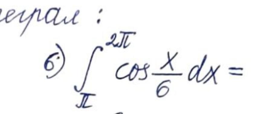
обчисліть визначений інтеграл. Один приклад. Вычислите определенный интеграл. Один пример
Приложения:
Ответы
Автор ответа:
1
Ответ:
Объяснение:
sin(2*п/6)*(2*п)^2 /12 - sin(п/6)*(п)^2 /12 =
= sin(п/3)*(п)^2 /3 - sin(п/6)*(п)^2 /12 ==
== √3/1,64 - 0,41 == 0,65
Похожие вопросы
Предмет: Геометрия,
автор: starcomfy841
Предмет: Геометрия,
автор: starcomfy841
Предмет: Английский язык,
автор: linssilkki
Предмет: География,
автор: howica6588
Предмет: Музыка,
автор: tenderlybae2007