Предмет: Математика,
автор: bonkabudakivska
Срочно пжжжжжжжжжж.
Приложения:
Ответы
Автор ответа:
1
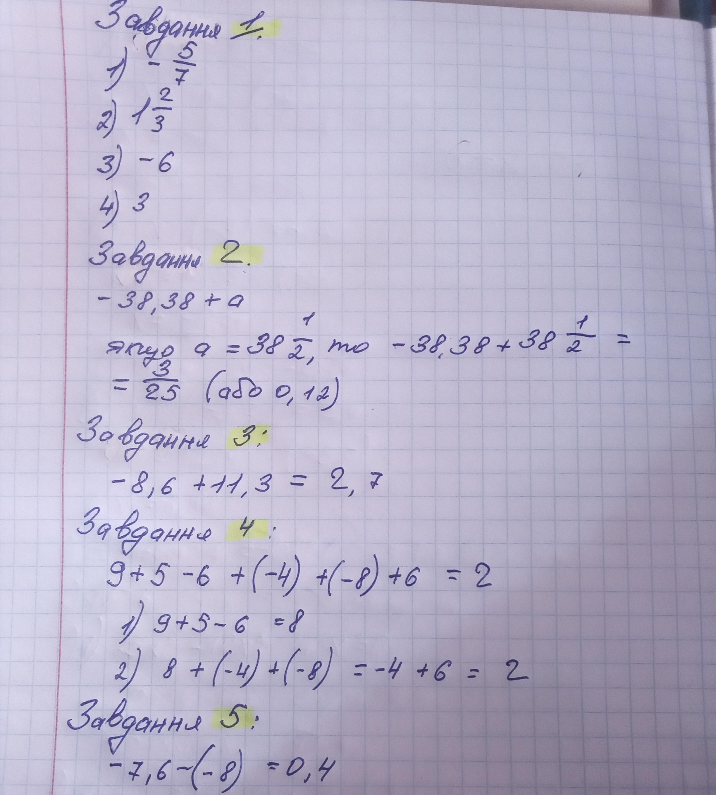
ответ во вложении, удачи :)
Приложения:
Похожие вопросы
Предмет: Математика,
автор: supersonyxss
Предмет: География,
автор: Esenyaxx
Предмет: Математика,
автор: xilolapryadko
Предмет: Математика,
автор: daraslabkova00