Предмет: Математика,
автор: elektrikmakaev
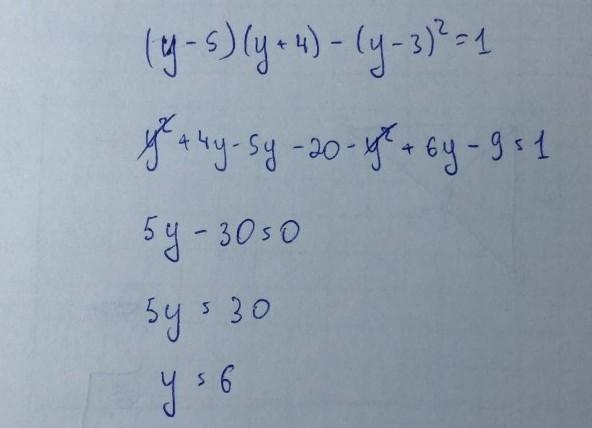
4. [4 балла] Решите неравенство: (y - 5)(y + 4) - (y - 3)^2> 1
Ответы
Автор ответа:
2
Пошаговое объяснение:
держи надеюсь поставиш лучший
Приложения:
Автор ответа:
1
Пошаговое объяснение:
(у - 5)(у + 4) - (у - 3)² > 1
у² + 4у - 5у - 20 - (у² - 6у + 9) > 1
у² - у - 20 - у² + 6у - 9 > 1
5у - 29 > 1
5у > 1 + 29
5у > 30
у > 30 : 5
у > 6
у Є (6; +∞)
Похожие вопросы
Предмет: Английский язык,
автор: k23860469
Предмет: Английский язык,
автор: denushavrysh11
Предмет: Українська мова,
автор: tanasadovaa65
Предмет: Химия,
автор: goryacheffnickita201
Предмет: История,
автор: katucha2005