Предмет: Геометрия,
автор: krukvubg68
Знайдіть координати середини відрізка АВ, якщо А(3; -2; 0), точка В (5; 6; -8).!!!Знайдіть координати середини відрізка АВ, якщо А(3; -2; 0), точка В (5; 6; -8).
Ответы
Автор ответа:
1
Ответ:
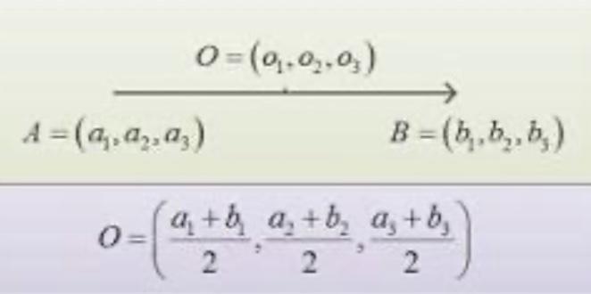
Координати середини відрізка АВ можна знайти, використовуючи формулу для середини відрізка у тривимірному просторі:
M((x1+x2)/2, (y1+y2)/2, (z1+z2)/2),
де (x1, y1, z1) та (x2, y2, z2) - координати точок А та В відповідно.
Підставляючи відповідні значення координат точок А та В, отримуємо:
M((3+5)/2, (-2+6)/2, (0+(-8))/2) = M(4, 2, -4)
Отже, координати середини відрізка АВ дорівнюють (4, 2, -4).
Коротка відповідь: (4, 2, -4).
Объяснение:
Автор ответа:
0
Відповідь:
Координати середини (4;2;-4)
Пояснення: використана формула на фото
Приложения:
Похожие вопросы
Предмет: Русский язык,
автор: kamilzakypov7836
Предмет: Русский язык,
автор: ligaydaler
Предмет: Математика,
автор: Аноним
Предмет: Алгебра,
автор: yanetitineya