Предмет: Геометрия,
автор: sadasdads97
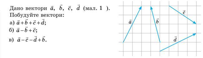
Побудуйте вектори. (Тема только началась, поэтому тут легко)
Приложения:
Ответы
Автор ответа:
0
Ответ:
вроді так жду вподобайку ♥️
Приложения:
sadasdads97:
якщо ще в зробиш поставлю вподобайку ;)
яке?
ЗАВДАННЯ В!
Похожие вопросы
Предмет: Физика,
автор: tndebajalinur
Предмет: Математика,
автор: tgtgyfdnhbg12
Предмет: География,
автор: Аноним
Предмет: Физика,
автор: missismalysh
Предмет: Геометрия,
автор: dadmvl