Предмет: Геометрия,
автор: svatmix637372
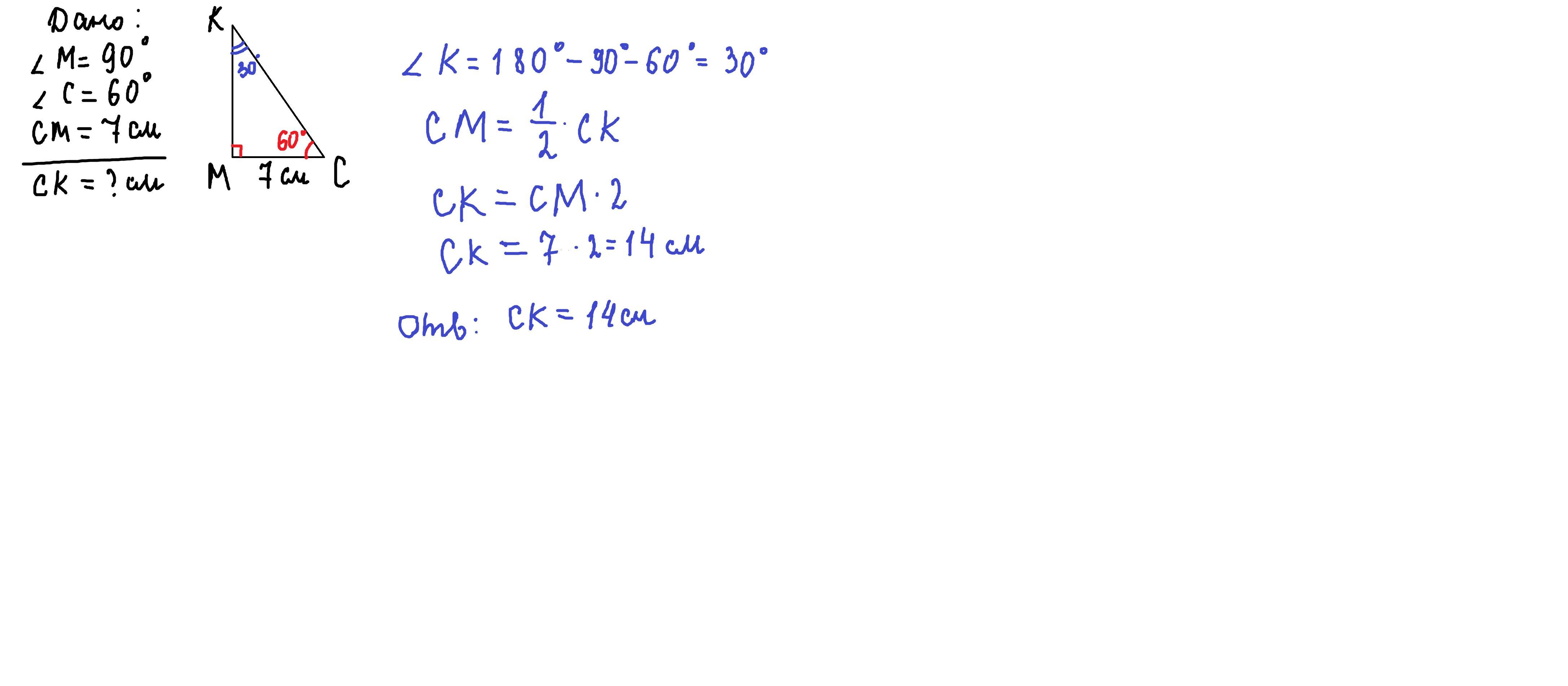
У прямокутному трикутнику MKC відомо, що ∠M = 90°, ∠ C = 60°, CM = 7 см. Знайдіть гіпотенузу CК.
Ответы
Автор ответа:
2
Ответ:
СК=14 см
Объяснение:
сумма внутренних углов треугольника равна 180 градусов
найдем угол К,он равен 30°.
В прямоугольном треугольнике против угла в 30 градусов лежит катет,равный половине гипотенузы
поэтому СК=СМ*2=7*2=14 см
Приложения:
Похожие вопросы
Предмет: Химия,
автор: olesya12072009
Предмет: Алгебра,
автор: muhdias111
Предмет: Алгебра,
автор: zhanakhmetovnu24
Предмет: Русский язык,
автор: birukovaanastasia17
Предмет: Математика,
автор: garizver1