Предмет: Математика,
автор: maksisiw9
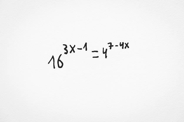
Решите пример,пожалуйста срочно
Приложения:
Ответы
Автор ответа:
1
Пошаговое объяснение:
Смотри в прикреплённом файле
Приложения:
Похожие вопросы
Предмет: Алгебра,
автор: derekatyu734
Предмет: Математика,
автор: mmfedorova2010
Предмет: Математика,
автор: hdoezn
Предмет: Українська мова,
автор: nedoribkoira
Предмет: Українська література,
автор: artem7808