Предмет: Математика, автор: tevyak1

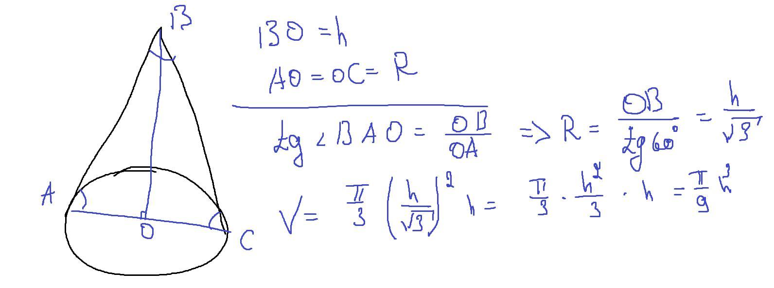
Найдите объем конуса если его высота равна h, а осевым сечением является равносторонний треугольник. Ответ должен получится вроде такой 1/9πh³см³.

Ответы

Автор ответа: polarkat
0

Объём можно найти по формуле V=\frac{\pi R^2h}{3}. По условию нам дана высота и так как сечением является равносторонний треугольник, то все углы в треугольнике равны по 60 градусам

Продолжение на фото

Приложения:
Похожие вопросы
Предмет: Геометрия, автор: xiaomir5a56781
Предмет: Биология, автор: xedik12
20. Как называется крупная жаба? 21. Какой защитный рефлек вырабатывается у жучков при виде насекомых? Почему именно такой? 22. Как называется личинка лягушки? 23. Чем прославилась японская веслоногая лягушка? 24. Чем у лягушки защищены глаза? 25. Почему лягушки не дрожат от холода? 26. Как быстро переваривается пища у земноводных? сколько примерно времени есть на спасение проглоченного ею жука?29. Кто из земноводных « ходит»? 30. Как называются древесные лягушки? 31. Может ли лягушка сидеть с открытым ртом? Почему? 32. Как называется безногое земноводное? 33. Сколько пальцев на передних конечностях у лягушки? 34. « О чем» поют лягушки? 35. Зачем жабе бородавки? 36. Какое оплодотворение у земноводных? 37. Какие животные на личиночной стадии обладают регенерацией? 38. Где был поставлен первый памятник лягушке? 39. Согласны ли вы с утверждением, что отсутствие земноводных – это один из признаков неблагополучия в водоеме? Почему? 40. Почему лягушки не могут жить только в воде? 41. Как называется лягушка, яд которой такой сильный, что прикосновение к ней стоит человеку жизни? 42. Как жабы могут жить в пустыне?