Предмет: Алгебра,
автор: veneraa5665
СРОЧНО ПОМОГИТЕ ПОЖАЛУЙСТА.
Винесіть множник з-під знака кореня
0,72.
Ответы
Автор ответа:
1
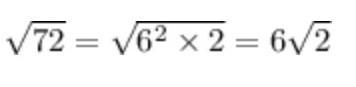
Ответ:
множник з-під знака кореня
72
Приложения:
veneraa5665:
Огромное спасибо
Похожие вопросы
Предмет: История,
автор: Аноним
Предмет: Математика,
автор: k8133579
Предмет: Обществознание,
автор: kasubaola741
Предмет: ОБЖ,
автор: Аноним
Предмет: Физика,
автор: ajdargtlmitdinov