Предмет: Алгебра,
автор: uriruroro
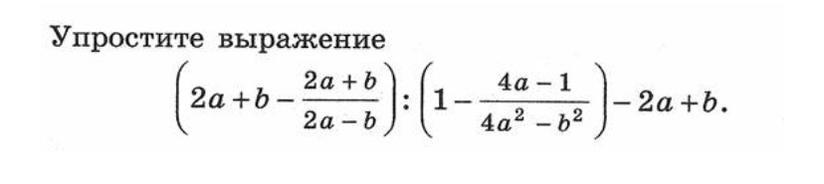
ПЖ СРОЧНО ‼️❗️‼️❗️
СДЕЛАЮ ЛУЧШИЙ ОТВЕТ
МНЕ КОНЕЦ ЕСЛИ НЕ ПОМОЖЕТЕ
Приложения:
Ответы
Автор ответа:
0
Объяснение:
................ .....
Приложения:
Похожие вопросы
Предмет: История,
автор: oblocotuca
Предмет: География,
автор: qribochek123
Предмет: Русский язык,
автор: ProDas111
Предмет: Математика,
автор: kisach08