Предмет: Алгебра,
автор: oleksandrpalamarcuk4
Помогите я слаб в корнях :(
Приложения:
Ответы
Автор ответа:
0
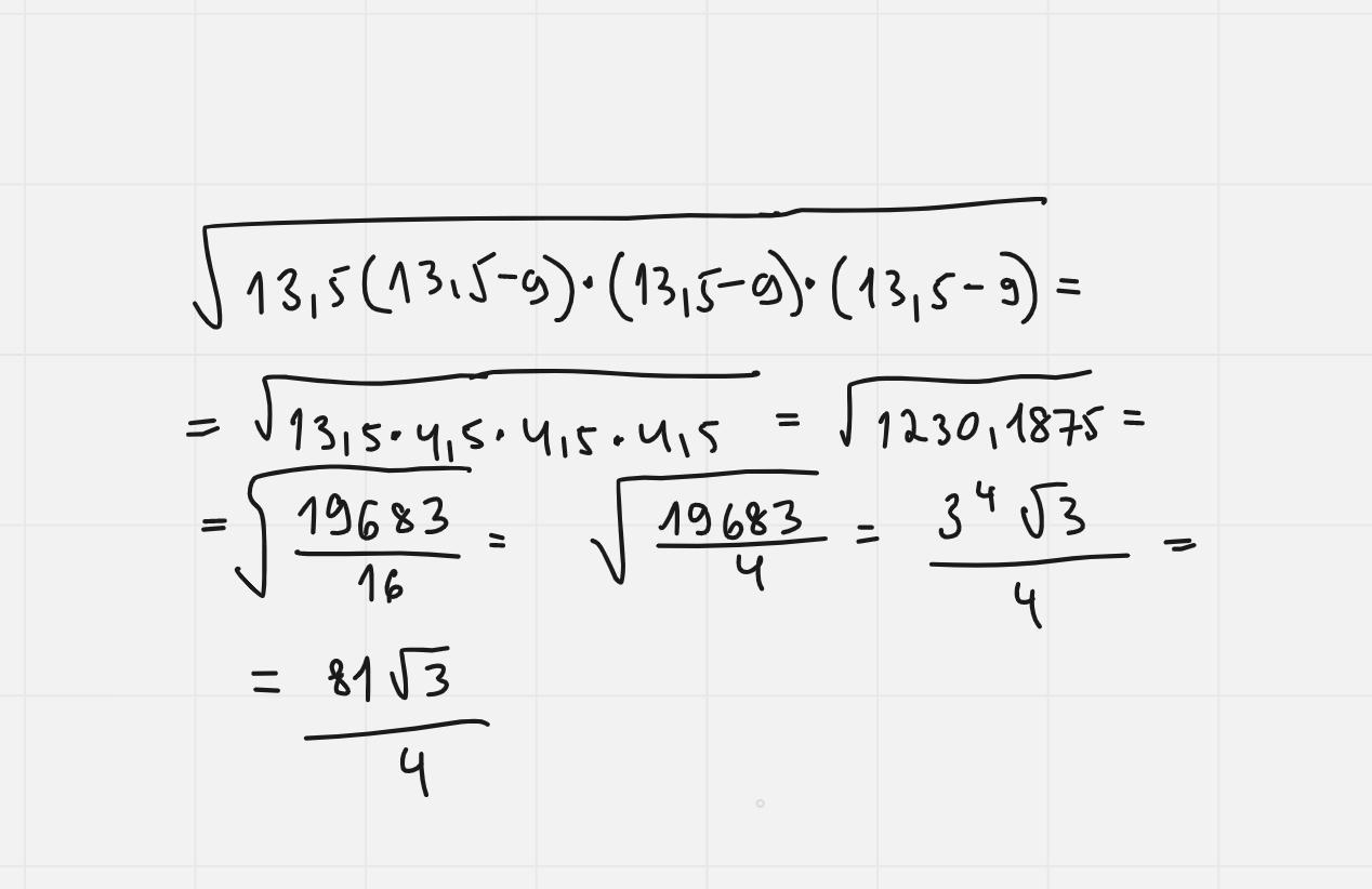
Ответ:
дай лучший ответ (коронку)
Объяснение:
Приложения:
Похожие вопросы
Предмет: Химия,
автор: asdfadadad228
Предмет: Математика,
автор: khimicha
Предмет: Алгебра,
автор: collplayer20
Предмет: Геометрия,
автор: sorokivska16
Предмет: Алгебра,
автор: yaryna272006