Предмет: Математика,
автор: daniilkapba3
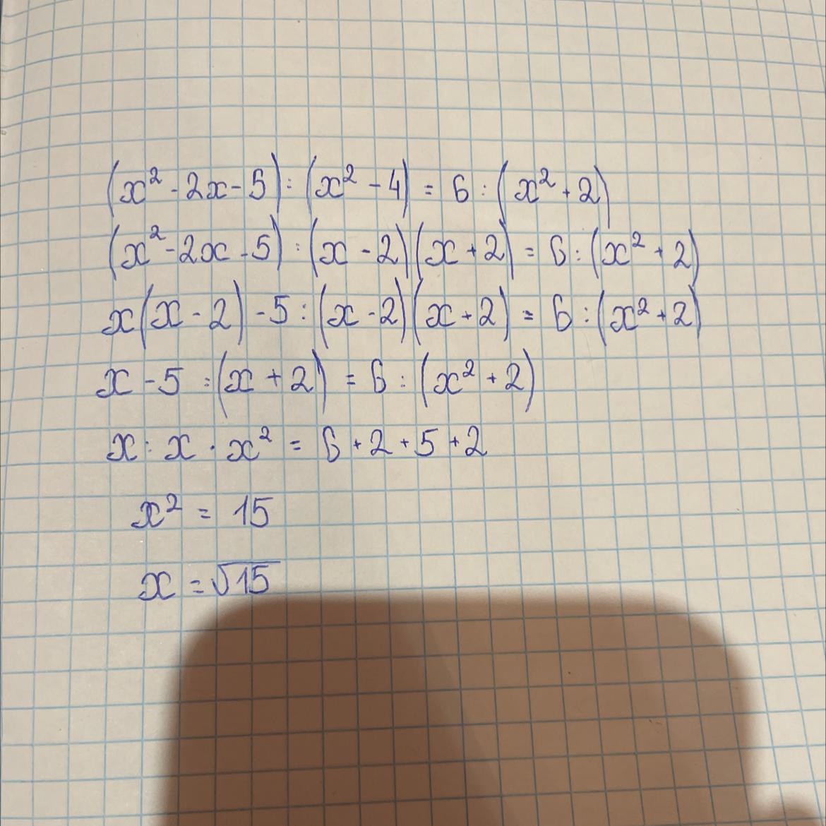
(x^2-2x-5)/(x^2-4)=(6)/(
x^2+2) решить уровнение. решите пожалуйста
Ответы
Автор ответа:
1
Ответ:
(х² - 2х-5)
(х²-4)
(6)
(х² + +2)
Пошаговое объяснение:
лайк поставь пожалуйста
Автор ответа:
0
Не знаю верно ли, или оно не верно в самом задании написано. Такчто как-то так
Приложения:
Похожие вопросы
Предмет: Геометрия,
автор: fgn9wgd7jz
Предмет: МХК,
автор: nikonove09
Предмет: Информатика,
автор: leykoviktoriya09
Предмет: Математика,
автор: starg8187
Предмет: Математика,
автор: tsvatkovskiy