Предмет: Алгебра, автор: aisatursunova78

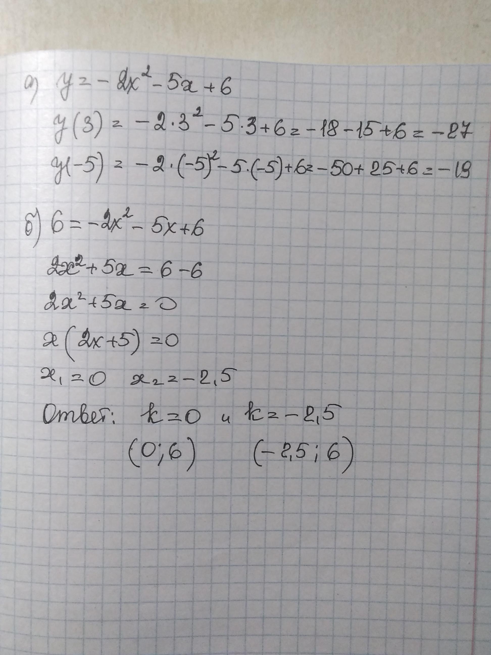
Дана функция y = -2x^2 - 5х +6 a) Найдите значения функции f (3) f (-5) Известно, что график функции проходит через точку (k; 6). b) Найдите значение k.

Ответы

Автор ответа: MizoriesKun
1

Смотри..................

Приложения:

Мозгокошка: Доброго времени суток!Можете пожалуйста помочь с алгеброй.Задания в моем профиле.Если у Вас есть время/возможность/желание/силы,то пожалуйста помогите или хотя бы посмотрите задания.Буду благодарна Вашей помощи.В любом случае спасибо за Ваше внимание и хорошего дня
Похожие вопросы
Предмет: Алгебра, автор: mstsikavyi
Предмет: Другие предметы, автор: meowoyo
Предмет: Литература, автор: shcherbarostislav
задания по теме: А. де Сент-Экзюп
ери «Маленький принц»
1. С чем путали взрослые рисунок змеи мальчика?
А) со шляпой;
Б) с шнурком;
В) со слоном.
2. Как маленький принц называл серьезного человека, считавшего цифры?
А) гриб;
Б) взрослый;
В) барашек.
3. Что настойчиво просил героя нарисовать мальчик?
А) козленка;
Б) розу;
В) барашка.
4. Что за рисунок получил маленький принц?
А) ящик;
Б) слона в удаве;
В) шляпу.
5. Где сделал вынужденную посадку рассказчик?
А) в Индии;
Б) в Сахаре;
В) в Китае.
6. Что сделал пилот, чтобы маленький принц перестал рыдать?
А) нарисовал цветок;
Б) стал его баюкать;
В) посадил цветок.
7. Почему маленький принц разозлился на пилота?
А) тот не обращал на него внимания;
Б) не хотел играть в любимую игру;
В) пилот посчитал неважными его вопросы.
8. Почему маленький принц почувствовал себя несчастным?
А) понял, что зря так любил цветок, он пустой.
Б) его цветок умер;
В) больше не хотел служить цветку.
9. Какими качествами обладал цветок, за которым ухаживал маленький принц?
А) скромность и красота;
Б) гордость и обидчивость;
В) хвастовство и злость.
10. Исправился ли цветок, когда принц решил уйти?
11. Что решил изменить в своей жизни цветок?