Предмет: Алгебра,
автор: urevadiana2
Помогите пожалуйста. 50 баллов дам
Приложения:
Ответы
Автор ответа:
1
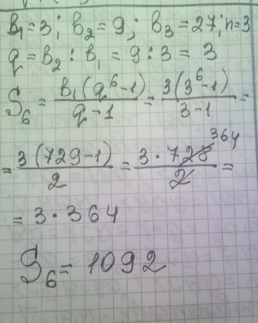
Ответ:
решение смотри на фотографии
Приложения:
Похожие вопросы
Предмет: История,
автор: ospanovomar07
Предмет: Математика,
автор: Dinananananananaa
Предмет: Литература,
автор: sevaranora381
Предмет: Математика,
автор: kseniaturkovskaa
Предмет: Геометрия,
автор: banu970312