Предмет: Алгебра,
автор: svetfishman2008
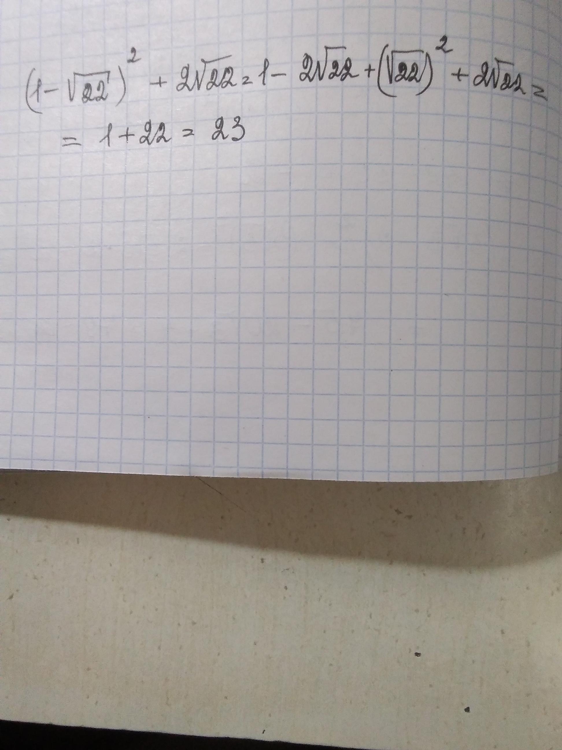
Спростіть вираз
50 баллов
Приложения:
Ответы
Автор ответа:
3
Смотри................
Приложения:
Похожие вопросы
Предмет: Алгебра,
автор: israfilovamadina212
Предмет: Українська мова,
автор: vetakushnir
Предмет: История,
автор: zlata2106
Предмет: Химия,
автор: ins111
Предмет: География,
автор: AlexTalaev255