Предмет: Алгебра,
автор: Sefh6
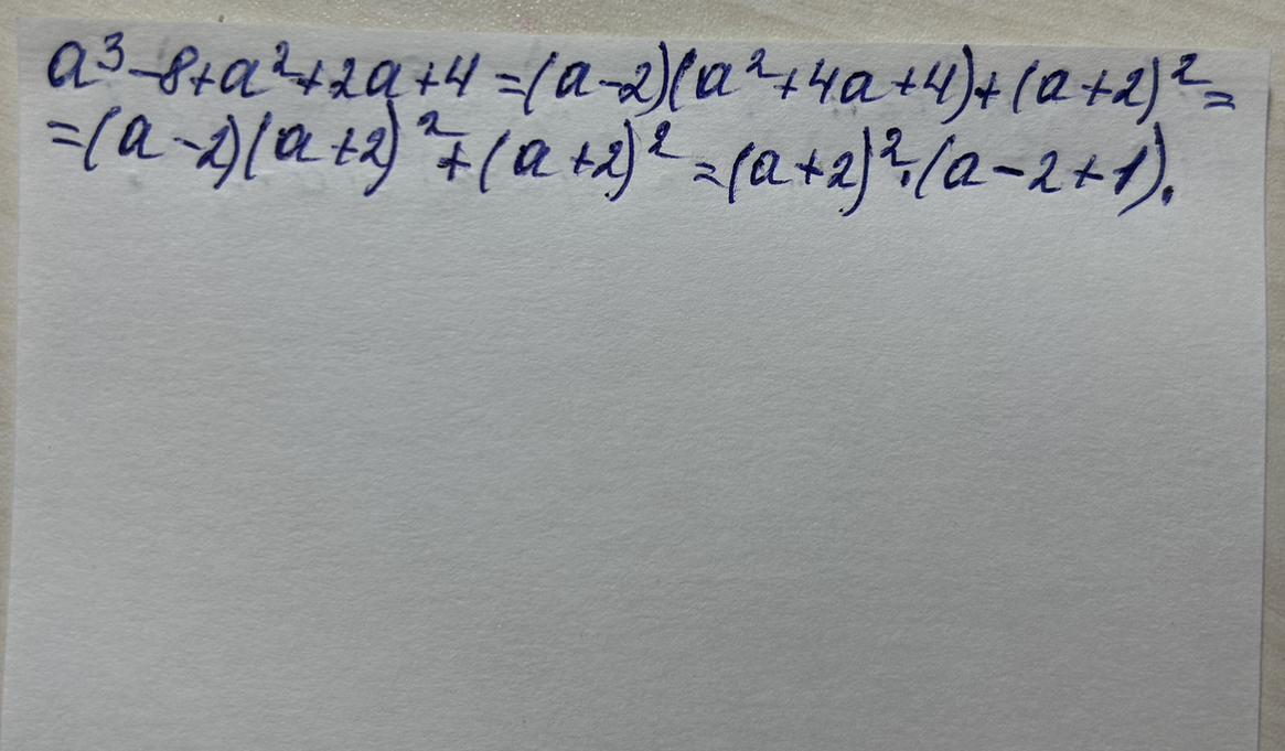
5. Розкладіть многочлен на множники: а³- 8 + а²+2а+4
Ответы
Автор ответа:
1
Відповідь на фото……….
Приложения:
Sefh6:
дякую
Похожие вопросы
Предмет: История,
автор: gsyhsbsh7185hbd
Предмет: Математика,
автор: nikitaafanasev2305
Предмет: Алгебра,
автор: pelinavlada
Предмет: Алгебра,
автор: usikdima7
Предмет: Химия,
автор: papazovaviola10