Предмет: Геометрия, автор: smulskayaliza

100б, одна задача. 10 клас

Приложения:

smulskayaliza: могу тг
smulskayaliza: @lyublyumamochku
Warlock1: он там решил?
smulskayaliza: не
Warlock1: вот честно говоря, я не стал бы тут отвечать, потому что мне ответ на задачу не нравится
Warlock1: напишу как есть, с комментарием, там уж сам(а) решишь

Ответы

Автор ответа: Warlock1
1

Ответ:

Объяснение:

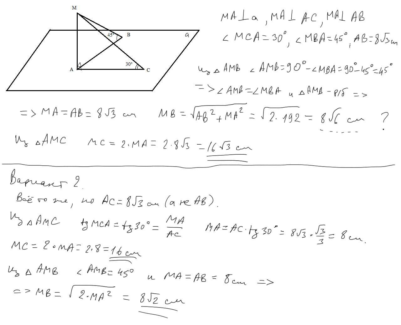
В общем, если исходить строго из текста задачи, то вариант 1. Но он мне не нравится, потому что обычно в задачах дают значения величин с корнями, чтобы эти корни потом по-тихому исчезли в процессе вычислений. Но в 1м варианте они не исчезают, а просто болтаются...

Вариант 2. Если всё же в задаче имеется ввиду что проекция наклонной 30градусов будет 8 корней из 3, тогда корни как раз частично исчезают))

В любом случае ещё становится непонятно что они имеют ввиду под вопросом "найти неизвестную наклонную". Они обе (!) неизвестны. Так что я нашёл обе.

Что делать - решать тебе, я бы такие не отвечал, но жаль решение пропадает, время потратил.

Приложения:
Похожие вопросы
Предмет: Математика, автор: sofiajavorska288
Предмет: Физика, автор: sarsengalievamadina0