Предмет: Математика,
автор: lam1naat091
ПОМОГИТЕ ПОЖАЛУЙСТА ЗАРАНИЕ СПАСИБО
Приложения:
Ответы
Автор ответа:
1
Ответ:
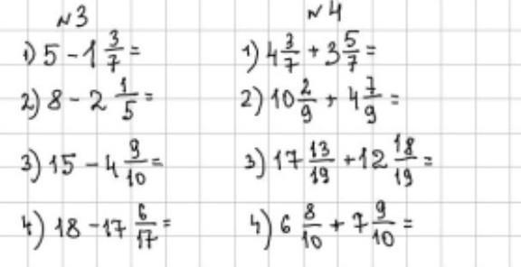
N3
1)25/7
2)29/5
3)107/10
4)11/17
N4
1)8 цілих 1/7
2)15
3)30 цілих 12/19
4) 14 цілих 7/10
Автор ответа:
1
Ответ:
№3
1.4 3
7
2. 6 1
5
3. 11 9
10
4. 1 6
17
№4
1. 7 8
7
2. 14 9
9
3. 29 31
19
4. 13 17
10
Пошаговое объяснение:
Вот так наверно удачи солнышко)))!
Похожие вопросы
Предмет: Алгебра,
автор: ugajlina3
Предмет: Математика,
автор: avdejaleksej14
Предмет: Физика,
автор: zxcqqa
Предмет: Окружающий мир,
автор: stud1701725
Предмет: Другие предметы,
автор: Аноним