Предмет: Алгебра, автор: veronikamila65

Помогите пожалуйста решить задачу в и г ​

Приложения:

Ответы

Автор ответа: sangers1959
0

Объяснение:

в)

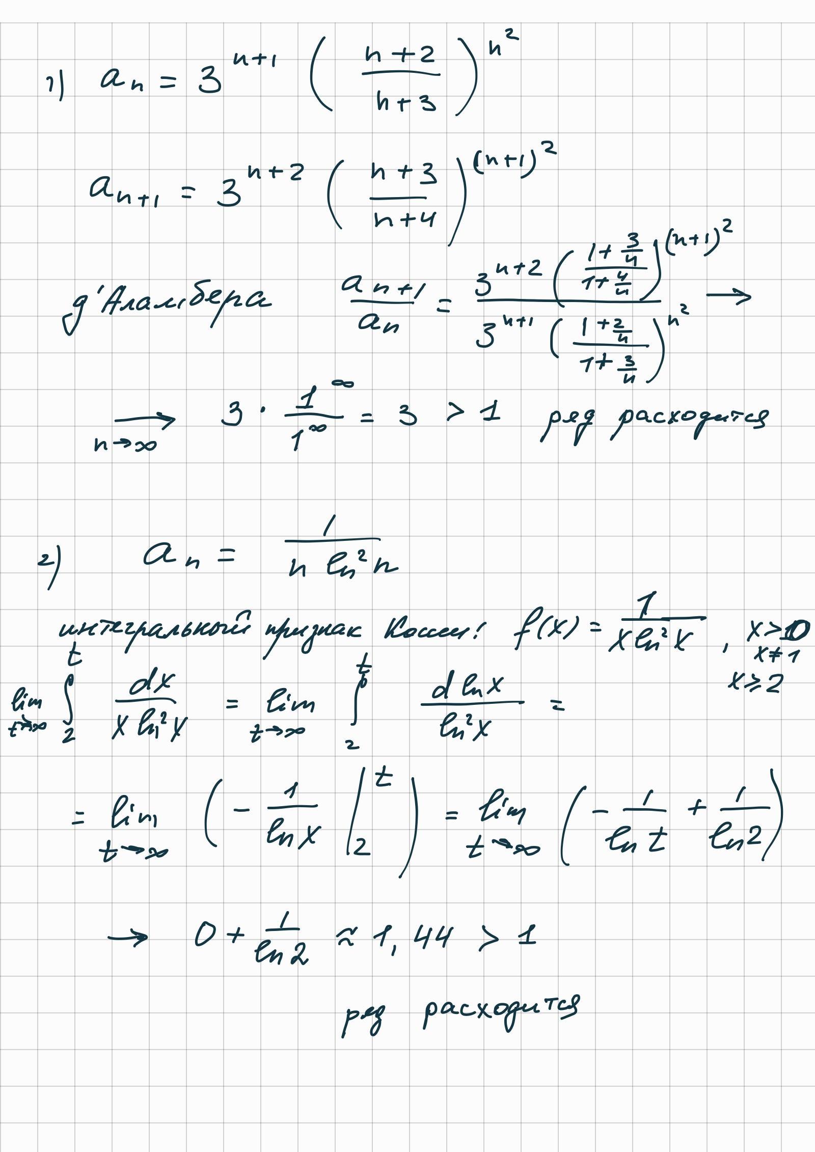
\displaystyle\\a_n=3^{n+1}(\frac{n+2}{n+3})^{n^2 }= 3*3^{n}(\frac{n+2}{n+3})^{n^2 }.\\\\\\ \lim_{n \to \infty} 3*3^n(\frac{n+2}{n+3})^{n^2}= 3* \lim_{n \to \infty} 3^n(\frac{n+2}{n+3})^{n^2}.\\\\\\

Применяем радикальный признак Коши:

\displaystyle\\3* \lim_{n \to \infty} \sqrt[n]{3^n*(\frac{(n+2)}{(n+3)})^{n^2} } =3* \lim_{n \to \infty}3*(\frac{(n+2)}{(n+3)})^n=3*3* \lim_{n \to \infty}( \frac{n*(1+\frac{2}{n} )}{n*(1+\frac{3}{n}) } )^n=\\\\=9* \lim_{n \to \infty} (\frac{1+\frac{2}{n} }{1+\frac{3}{n} } )^{n}=9*(\frac{1+0}{1+0})^\infty} =9*1^{\infty}=9*1=9 > 1\ \ \ \ \Rightarrow\\\\

                              Ответ: ряд расходится.

г)

\displaystyle\\a_n=\frac{1}{n*ln^2n} .\\\\

\displaystyle\\ \lim_{n \to \infty} \frac{1}{n*ln^2n} .

Применяем интегральный признак Коши:

\displaystyle\\\int\limits^{\infty}_1 {\frac{1}{x*lnx} } \, dx =\int\limits^{\infty}_1 {\frac{dx}{x*lnx} }  =|{{lnx=u} \atop {du=\frac{dx}{x} }} \right.|=\int\frac{du}{u^2} =-\frac{1}{u} =-\frac{1}{lnx} \ |_1^{\infty} =\\\\=-(\frac{1}{ln\infty} -\frac{1}{0})=\infty-0=\infty > 1.\ \ \ \ \ \ \Rightarrow

                            Ответ: ряд расходится.


sangers1959: Я решаю дальше.
veronikamila65: хорошо, буду ждать, заранее спасибо
veronikamila65: добавьте скриншот красный показывает
Автор ответа: olgaua64
1

Відповідь:

Пояснення:

ряды расходятся

Приложения:

veronikamila65: спасибо большое
veronikamila65: можете еще на 3 вопрос посмотреть , там мне ответили красиво но без решения, а препод требует решения....
Похожие вопросы
Предмет: Литература, автор: medinatasenova589
Предмет: Алгебра, автор: titop7