Предмет: Математика,
автор: gordeyka0907
допоможіть,будь ласка,розгорнуту відповідь,срочно...даю 30 бал
Приложения:
Ответы
Автор ответа:
1
Ответ:
..........................
Приложения:
harions:
Можно лучший ответ, пж
спасибі,так дам найкращю відповідь
❤️
Автор ответа:
1
Ответ:
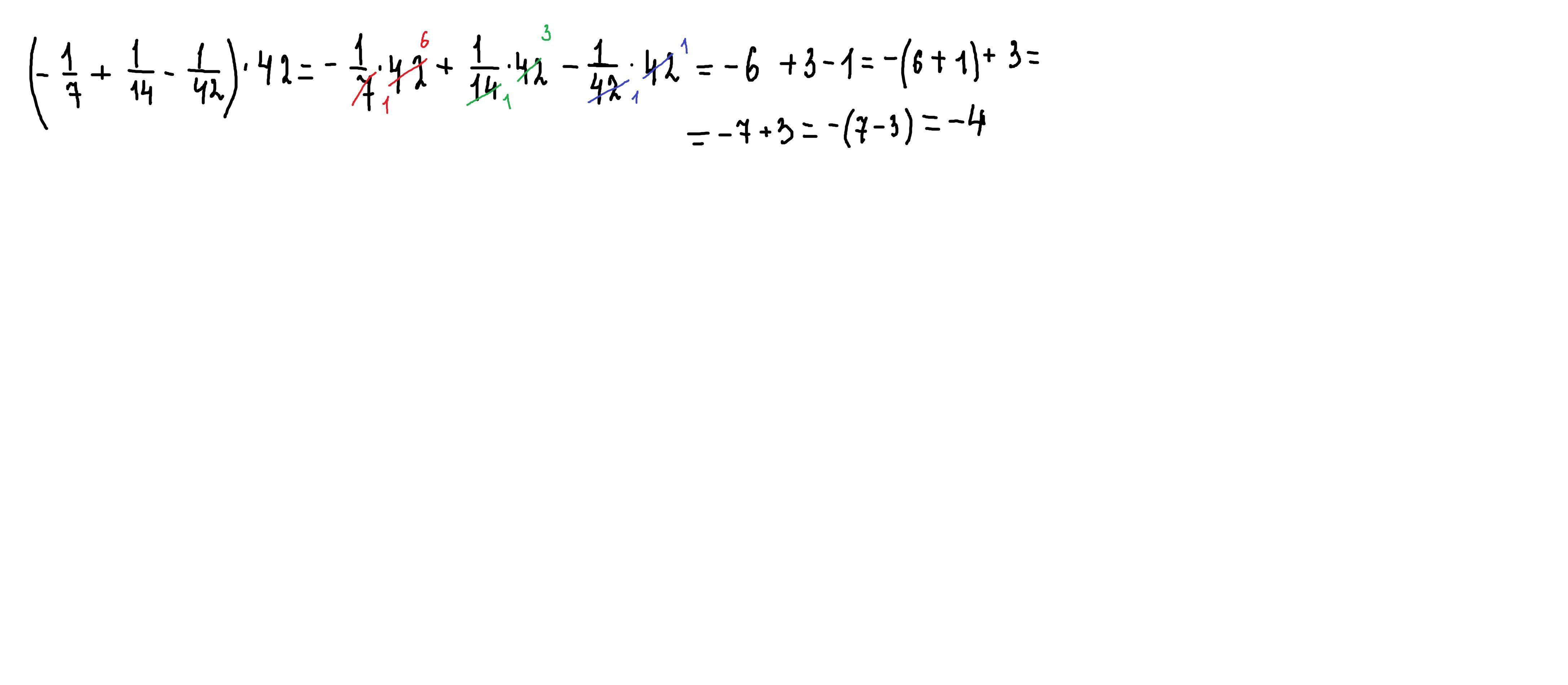
- 4
Пошаговое объяснение:
в этом примере легче выполнить умножение,чем приводить к общему знаменателю дроби
Приложения:
спасибо большое,правда это намного лучше!)
это проще.
Похожие вопросы
Предмет: Русский язык,
автор: inkaralimbekova4
Предмет: Українська мова,
автор: fropikloww
Предмет: Другие предметы,
автор: Аноним
Предмет: Другие предметы,
автор: avtohoztovar
Предмет: Литература,
автор: Аноним