Предмет: Алгебра, автор: katya12545

знайдіть суму арифметичної прогресії 5;7;9 з шостого по одинадцятий включно

Ответы

Автор ответа: NNNLLL54
1

Ответ:

Арифметическая прогрессия :   \bf 5\, ;\, 7\, ;\, 9\, ;\, ...  .

Формулы :  \bf a_{n}=a_1+d(n-1)\ \ ,\ \ d=a_{n+1}-a_{n}\ \ ,\ \ S_{n}=\dfrac{a_1+a_{n}}{2}\cdot n   .

\bf d=7-5=2\\\\a_{11}=a_1+10\, d=5+10\cdot 2=25\\\\S_{11}=\dfrac{a_1+a_{11}}{2}\cdot 11=\dfrac{5+25}{2}\cdot 11=\dfrac{30}{2}\cdot 11=15\cdot 11=165  

\bf a_5=a_1+5d=5+4\cdot 2=5+8=13\\\\S_5=\dfrac{a_1+a_5}{2}\cdot 5=\dfrac{5+13}{2}\cdot 5=9\cdot 5=45  

Сумма членов арифметической прогрессии с 6-го по 11-ый член

равна      \bf S_{11}-S_5=165-45=120  .


parus77: сумму з шостого по одинадцятий включно,а не с 1 по 11.
Автор ответа: parus77
1

Ответ:

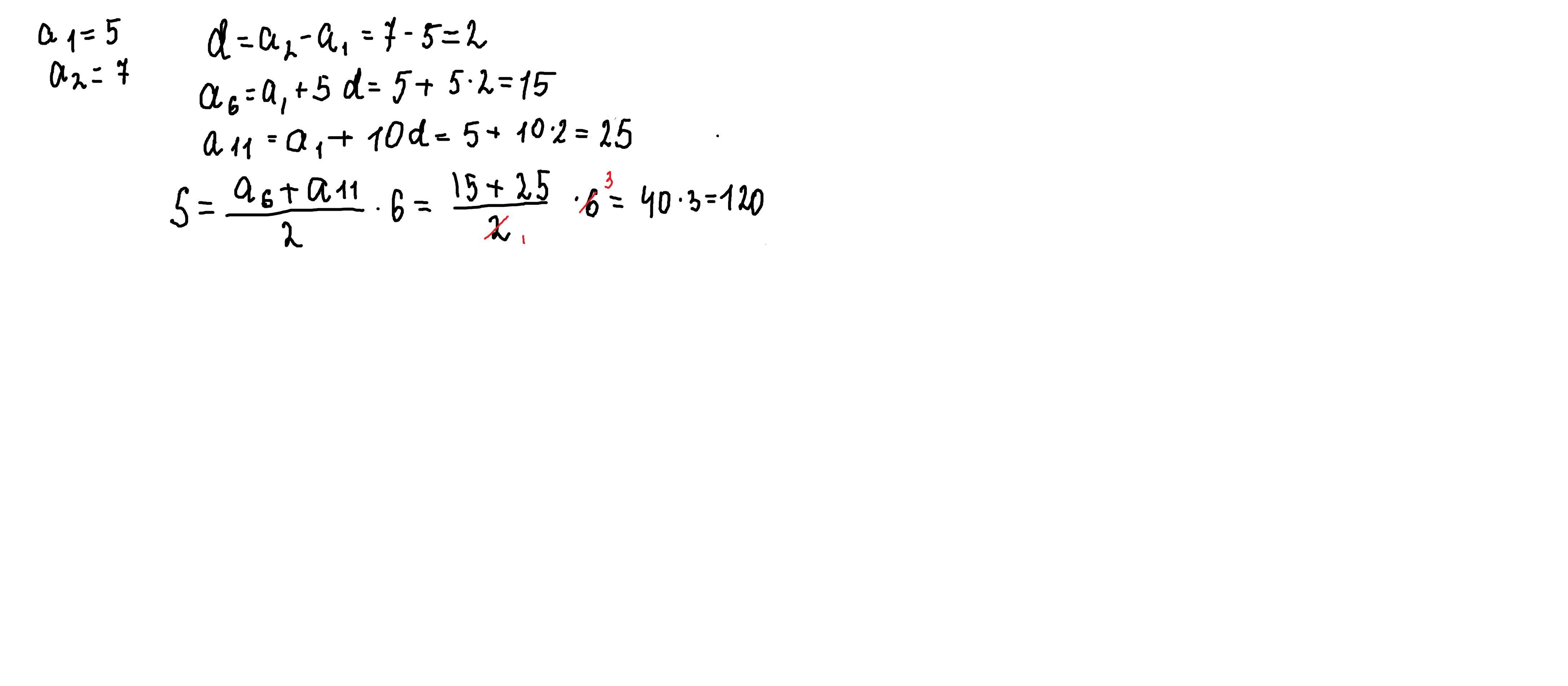
сумма с 6 по 11 член равна 120

Объяснение:

решение внизу

Приложения:
Похожие вопросы
Предмет: История, автор: blackavgystina
Предмет: Алгебра, автор: svetlanavasile2
Предмет: Биология, автор: xedik12
.1. Чем питаются лягушки?


2. Куда лягушки девают старую кожу


3. Пьет ли лягушка воду?


4. Имеется ли у лягушки шейный позвонок?


5. Как называется наружная часть органа слуха?


6. Чем дышит лягушка под водой?


7. Как называются мешки, которые при кваканье раздуваются по бокам головы самца?


8. В какой среде происходит развитие личинок земноводных?


9. Почему лягушка не может жить только на суше?


10. Кто были предками земноводных?


11. Есть ли у лягушки веки и слезные железы?


12. Какие конечности сначала вырастают у головастика – задние или передние?


13. Самая большая в мире лягушка?


14. Бесхвостое животное с ороговевшей кожей?


15. Сколько пальцев на задних лапах у лягушки?


16. У какой лягушки нет языка?


17. Где зимуют лягушки?


18. Орган добычи пищи у лягушки?


19. Любимая пища тритонов и лягушек?


20. Как называется крупная жаба?


21. Какой защитный рефлек вырабатывается у жучков при виде насекомых? Почему именно такой?


22. Как называется личинка лягушки?


23. Чем прославилась японская веслоногая лягушка?


24. Чем у лягушки защищены глаза?


25. Почему лягушки не дрожат от холода?


26. Как быстро переваривается пища у земноводных? сколько примерно времени есть на спасение проглоченного ею жука?


27. Сколько камер имеет сердце земноводных?


28. Имеет ли лягушка среднее ухо?


29. Кто из земноводных « ходит»?


30. Как называются древесные лягушки?


31. Может ли лягушка сидеть с открытым ртом? Почему?


32. Как называется безногое земноводное?


33. Сколько пальцев на передних конечностях у лягушки?


34. « О чем» поют лягушки?


35. Зачем жабе бородавки?


36. Какое оплодотворение у земноводных?


37. Какие животные на личиночной стадии обладают регенерацией?


38. Где был поставлен первый памятник лягушке?


39. Согласны ли вы с утверждением, что отсутствие земноводных – это один из признаков неблагополучия в водоеме? Почему?


40. Почему лягушки не могут жить только в воде?


41. Как называется лягушка, яд которой такой сильный, что прикосновение к ней стоит человеку жизни?


42. Как жабы могут жить в пустыне?