Предмет: Математика,
автор: liptonderik
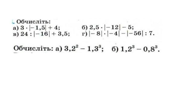
Помогите решить даю 25 балов
Приложения:
Ответы
Автор ответа:
0
Ответ:
сори за Б во 2 задании, забыл уже что там делать нужно пошагово
Приложения:
Похожие вопросы
Предмет: Українська мова,
автор: shyshynadasha38
Предмет: География,
автор: mlogacevskaa
Предмет: Биология,
автор: ajsabaj400
Предмет: География,
автор: ivanovakaterina445
Предмет: История,
автор: silovlad06