Предмет: Химия,
автор: dianasiliga1
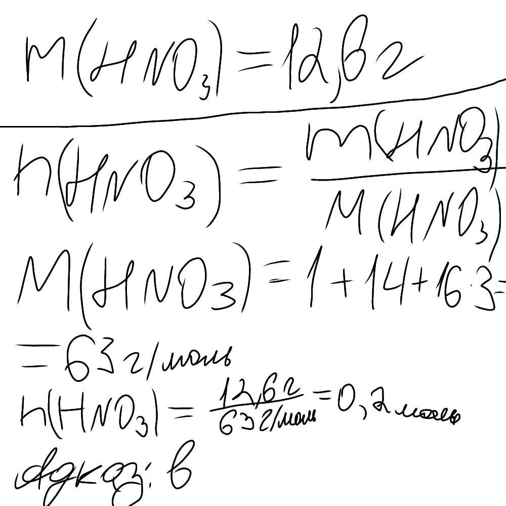
8. Визначте та вкажіть кiлькiсть речовини нітратної кислоти, яка міститься в 12,6 г нітратної кислоти: а) 0,1 моль; в) 0,2 моль; г) 0,3 моль. б) 0,15 моль;
Ответы
Автор ответа:
0
Ответ:
все рішення на малюнку, а також відповідь
Приложения:
Похожие вопросы
Предмет: История,
автор: hshshxfkfk
Предмет: Математика,
автор: khanzadayrk
Предмет: Математика,
автор: usmanovadilfuzhon
Предмет: Алгебра,
автор: Brawler6543
Предмет: Экономика,
автор: nfoster