Предмет: Математика,
автор: lessyaasss
терміново допоможіть


Ответы
Автор ответа:
1
Ответ:
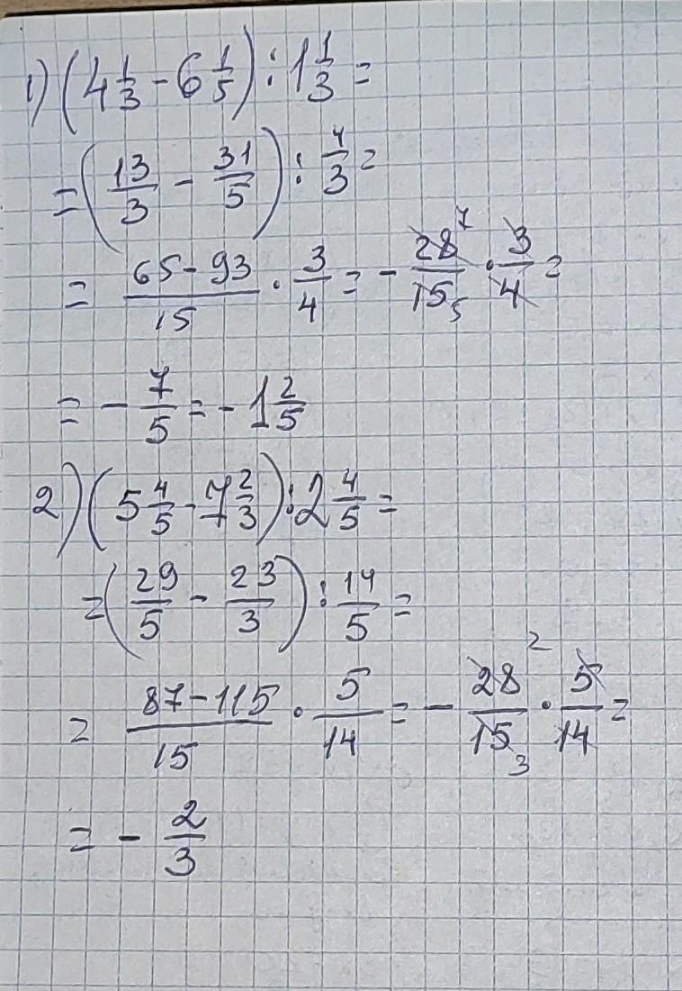
вот решение
Пошаговое объяснение:
решение ниже
Приложения:
lessyaasss:
спасибо
на здоровье
Похожие вопросы
Предмет: Русский язык,
автор: pavlovaaleksija
Предмет: Английский язык,
автор: jokerwild443
Предмет: Литература,
автор: antoninazablak
Предмет: Литература,
автор: wolfich228228
Предмет: Литература,
автор: vika13071913