Предмет: Математика,
автор: Owens
Как решить систему уравнений с дробями ?
Нужно решить:
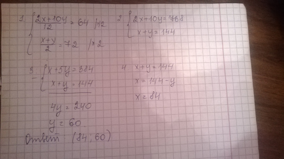
2x+10y все это деленное на 12 = 64
x+y все это деленое на 2 = 72
Найти х и y
Ответы
Автор ответа:
0
будет вот так) чтобы решить систему с дробями, нужно домножить
Приложения:
Похожие вопросы
Предмет: Математика,
автор: sonyasokolova307
Предмет: Математика,
автор: Bekzod10
Предмет: Математика,
автор: ilya2365
Предмет: История,
автор: ЮлькаSokol
Предмет: Математика,
автор: kamkusa