Предмет: Алгебра,
автор: blackbanny656
допоможіть будь ласка
Приложения:
Ответы
Автор ответа:
1
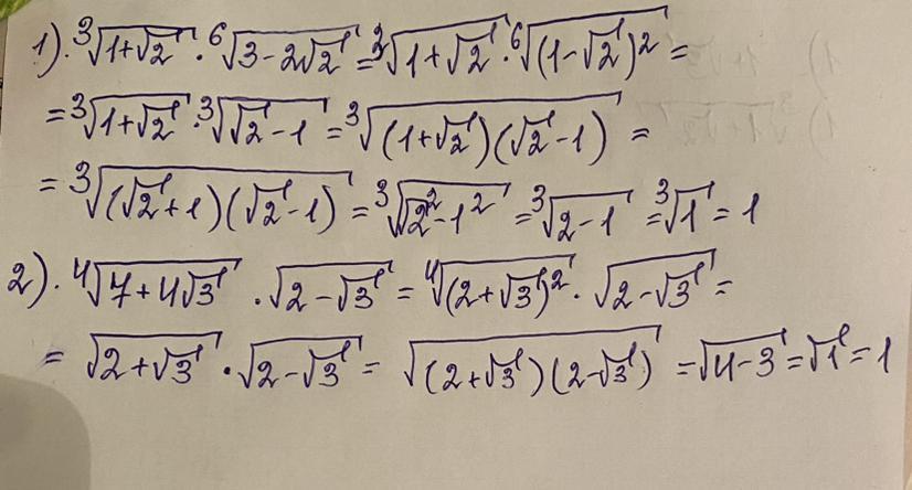
Відповідь на фото нижче
Приложения:
blackbanny656:
дуже дякую!!
Похожие вопросы
Предмет: Математика,
автор: Аноним
Предмет: Английский язык,
автор: sanzaridrisov541
Предмет: Українська мова,
автор: ysoldatchenkov
Предмет: Информатика,
автор: volkovaalena863
Предмет: Математика,
автор: medinaisabaeva2006