Предмет: Алгебра,
автор: violettafil729
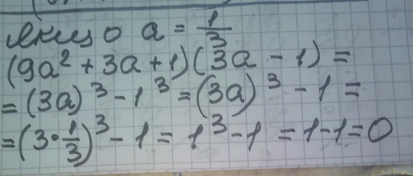
Знайдіть значення виразу.
(9a ^ 2 + 3a + 1)(3a - 1)
якщо а=1/3.
Ответы
Автор ответа:
1
Ответ:
решение смотри на фотографии
Приложения:
Похожие вопросы
Предмет: Математика,
автор: koshuhivskayak
Предмет: МХК,
автор: daanavolkova686
Предмет: Геометрия,
автор: B5474457
Предмет: Математика,
автор: YouAa
Предмет: Русский язык,
автор: nesibeliziyabek2