Предмет: Алгебра, автор: kamik1997

найдите производную 
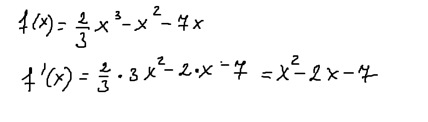
f(x)=2/3x^3-x^2-7x 

Ответы

Автор ответа: esmilya
0
Если понравилось решение - нажимай "спасибо" и "лучший" (рядом с кнопкой "спасибо") :)
Приложения:
Похожие вопросы
Предмет: Алгебра, автор: eerkeajymkerimbekova
Предмет: Русский язык, автор: dominator73
Помогите написать сжатое изложение Берёзовый свет срочно По пути на работу я поднял на дороге сосновую шишку. Глянул, а она расклевана дятлом. И вспомнилась мне зима. Березовая роща. Сугробы у забора. Белый заревой свет исходит от раннего утреннего снега, от тонкоствольных берез.

Далеко впереди бежит мой сын Серега. Меж стволов мелькают его темный свитер и синяя шапка. Мне видно, как он крадется от дерева к дереву. Выслеживает кого-то!

— Папа! — раздается среди снегов его звонкий голосок. — Здесь птица какая-то чудная! Длинноносая!
— Где?
— За стволами прячется. Нос высунет, хитрым глазком сверкнет и незаметно на другое дерево перелетит.
— Да это дятел вздумал с тобой в прятки играть...
—Ну!
— Помнишь сказку про лесного доктора — дятла, который вылечил больную сосну?
— А как же! — согласно кивнул Се-рега.

Тем временем дятлу надоело прятаться. Зимний день недолог, а дела не ждут! Выбрал он старую, покосившуюся березу. Короткими скачками побежал по стволу от земли вверх, причем не по прямой линии, а кругами, спиралью, гордо откинув назад голову. Заметил трещину в коре, прицепился покрепче лапами. Хвостом уперся, приосанился, и по роще посыпалась веселая барабанная дробь.

Мы подошли ближе к «лесному доктору». Ну и нарядный же он! Шапка красная. Щеки белые. Спина черная, а на крыльях белые горошины. Бум! Бум! Бум! — полным ходом идет работа. На снег сыплются желто-розовые кусочки древесины.

На зов «лесного доктора» подоспели голубые синицы-лазоревки. И принялись за работу, стали подбирать оброненных короедов.

Если синица — самая веселая птица в зимнем лесу, то дятел — самая трудолюбивая. И в будни, и в праздники он всегда занят делом.

Побродив вдоволь по перелескам, по молодому березняку, надышавшись ядреным морозным воздухом, мы остановились у расщепленной молнией осины. Под деревом валялась целая груда шишек.

— Здесь дятел пирует, — сказал я.
— Тут его кузница!

Вдруг над нами пронеслась небольшая птица, сложила крылья и опустилась на дерево.

— Опять дятел! — вскрикнул Серега,
— Шишку принес!

«Лесной доктор» огляделся по сторонам, мигом забрался по стволу на свое излюбленное место, положил ношу на лапы и выдернул из углубления в стволе старую шишку. Она чуть не упала Сереге на голову. Вместо нее дятел тут же вставил новую. А чтобы прочнее было, он вколотил носом-молоточком шишку поглубже и начал мастерски разделывать ее, доставая языком семена.

— Хороша кузница! — улыбнулся Серега. — И высоко, и удобно!

А «лесной доктор», не удостоив нас даже взглядом, продолжал с азартом долбить шишку.

— Обедает! — сказал сын. Я взглянул на часы:
— Самое время!

Мы с Серегой пожелали «лесному доктору» приятного аппетита и повернули к дому​