Предмет: Математика,
автор: elterestursunbekav
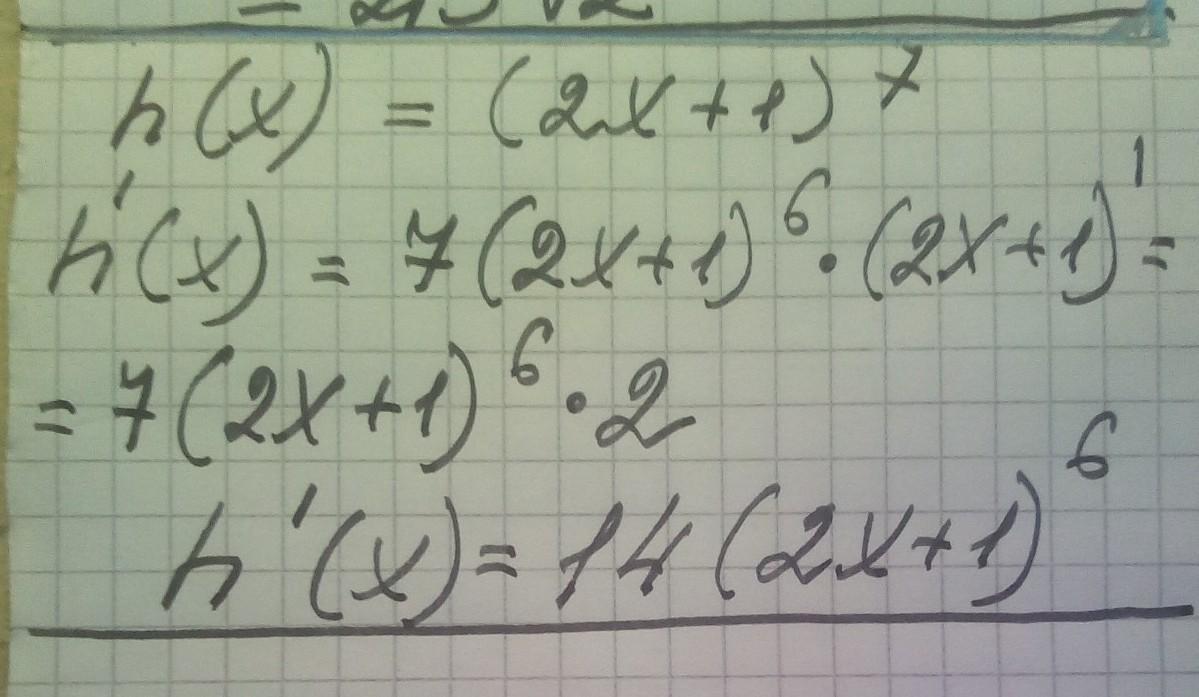
найдите производную сложный функции h (x)=(2x+1)⁷
Ответы
Автор ответа:
0
Ответ:
Пошаговое объяснение:
Автор ответа:
0
Ответ:
решение смотри на фотографии
Приложения:
Похожие вопросы
Предмет: Английский язык,
автор: vitakravchenko666
Предмет: Химия,
автор: klErSi
Предмет: География,
автор: annastasiakuznec
Предмет: География,
автор: 2738466
Предмет: Математика,
автор: vajdemanaleksandr