Предмет: Алгебра,
автор: vlada2010ish
РОЗВ'ЯЖІТЬ ДРУГИЙ варіант!!!!!!!!!!!! будь ласка
Приложения:
Ответы
Автор ответа:
0
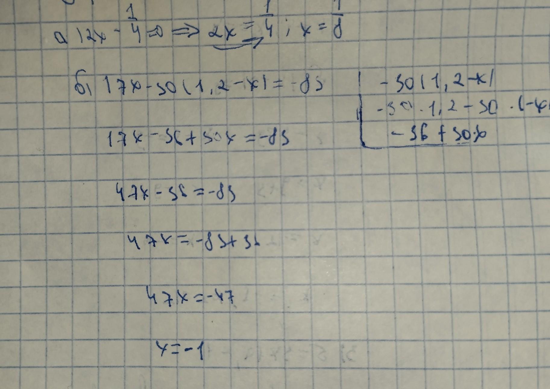
Объяснение:
мені третій не вистачило,тому я тут напишу, 5=3х+а, х=-1, підставимо корінь в рівняння 5=3-1+а,5=2+а,5-а=2, -а=2-5,-а=-3, а=3
Приложения:
qwynzzzvmrtcm:
можна будь ласка уподобайку
Похожие вопросы
Предмет: Алгебра,
автор: bandera283772
Предмет: Математика,
автор: lizamelnychuk13
Предмет: География,
автор: sophiashi4ok11
Предмет: Математика,
автор: rusabd75
Предмет: История,
автор: tiracvyanararat