Предмет: Алгебра,
автор: olegpopov789
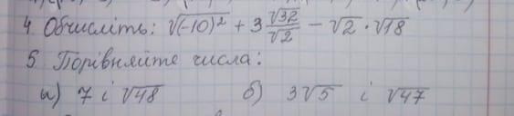
Завдання на фото, допоможіть
Приложения:
Ответы
Автор ответа:
1
Відповідь:
Пояснення:
Приложения:
Похожие вопросы
Предмет: Геометрия,
автор: viktorialytovcak
Предмет: Кыргыз тили,
автор: Kudratravsanovic
Предмет: Математика,
автор: Аноним
Предмет: Русский язык,
автор: kgubajdullina927
Предмет: Литература,
автор: dianasavinova09