Предмет: Математика,
автор: ilona4911
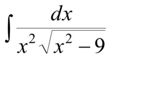
Обчислити інтеграли за допомогою
тригонометричних підстановок
Приложения:
Ответы
Автор ответа:
1
Ответ:
Пошаговое объяснение:
рассмотрите предложенное решение, ответ отмечен оранжевым.
Приложения:
Похожие вопросы
Предмет: Українська мова,
автор: belyy18051964
Предмет: Алгебра,
автор: bankovskaangelina201
Предмет: Алгебра,
автор: cofeek51
Предмет: Химия,
автор: volevachnik