Предмет: Алгебра, автор: komlyk69

Розв'яжіть рівняння: ДАЮ 50 БАЛОВ БИРУЧИТЕ

Приложения:

Ответы

Автор ответа: parus77
1

Ответ:

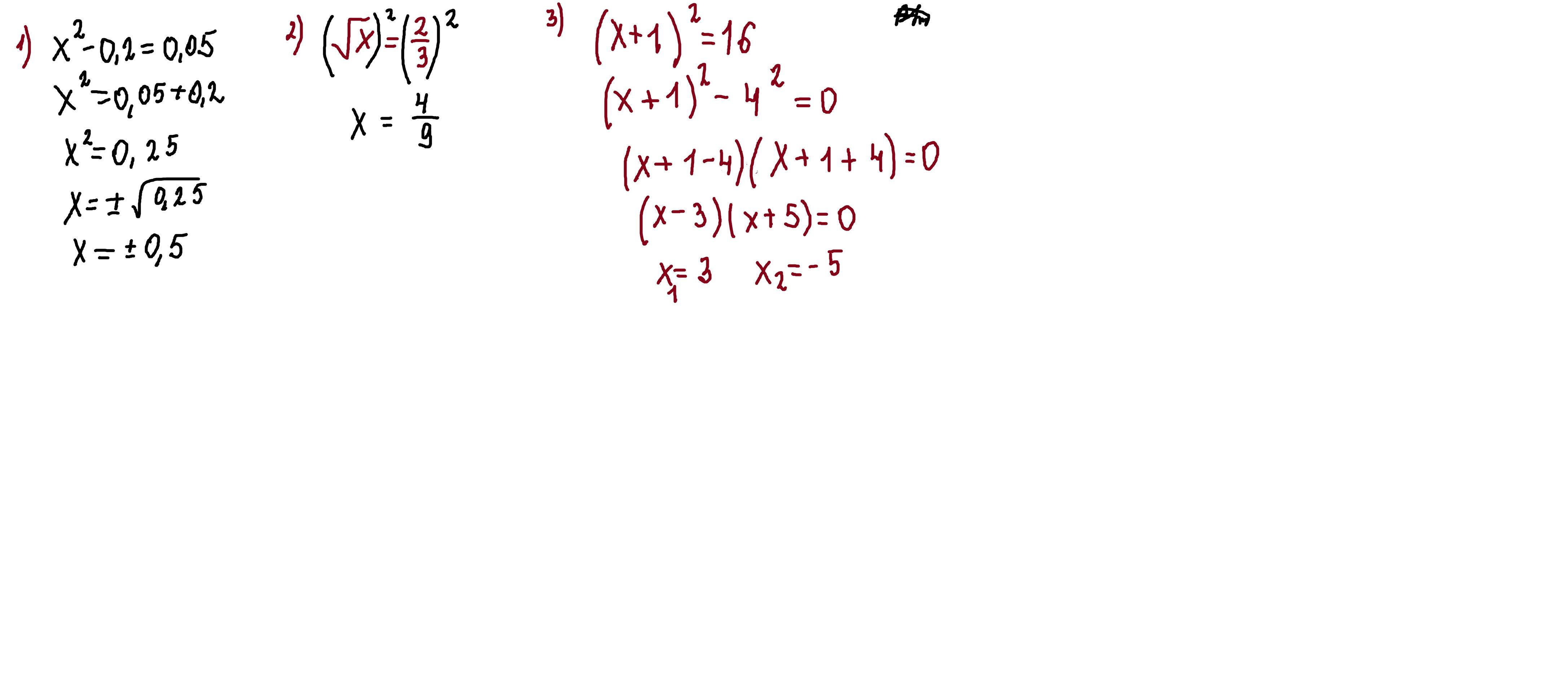
1. х=±0,5       2. х=4/9         3.  х1= 3   х2=-5

Объяснение:решение внизу

Приложения:
Автор ответа: tk91707
0

Ответ:

1) x^2-0.2=0.05

  x^2-0.2-0.05=0

  x^2-0.25=0

  (x-\frac{1}{2})(x+\frac{1}{2} ) =0

1. x=\frac{1}{2}

2. x=-\frac{1}{2}

2) \sqrt{x} = \frac{2}{3}

    x=\frac{4}{9}

3) (x+1)^2=16

   x^2+2x+1=16\\x^2+2x+1-16=0\\x^2+2x+15=0\\-1+15=14\\-3+5=2\\x=3\\x=-5

прости обьяснить не смогу как это вышло

Похожие вопросы
Предмет: Математика, автор: sasaicwjsugwg42ivdjx