Предмет: Математика,
автор: kravchuksofiallll
Помогите пожалуста
please
даю 10 балів
Приложения:
Ответы
Автор ответа:
0
Ответ:
.лд
Пошаговое объяснение:
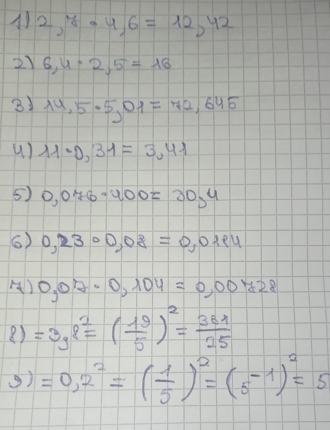
1) 12,42
2)16
3)72,654
4) 3,41
5)30,4
6) 0,0184
7) 0,00728
8) 14,44
9) 0,04
Автор ответа:
0
Ответ:
Вот собственно ответ, надеюсь помог
Приложения:
Похожие вопросы
Предмет: Математика,
автор: zajcenkoaleksandra08
Предмет: Українська мова,
автор: kravcukdaria2
Предмет: Биология,
автор: popovictetana18
Предмет: Математика,
автор: bolievakamilla
Предмет: Немецкий язык,
автор: kravvchennkko